🇳🇴 🇬🇧 🇩🇪 🇨🇿 🇫🇮

Meteor, poloha: Dalen 2018-03-28 23:29:59 UTC

Soubor KML  |  InteraktivnĂ­ mapa

Mapa zobrazuje dráhy meteoru. Světlejší čáry ukazují směry od pozorovacích stanic při objevení se meteoru a tmavší čáry, kde byl naposledy viděn. Modrá šipka značí viditelnou dráhu meteoru.

static map
height profile
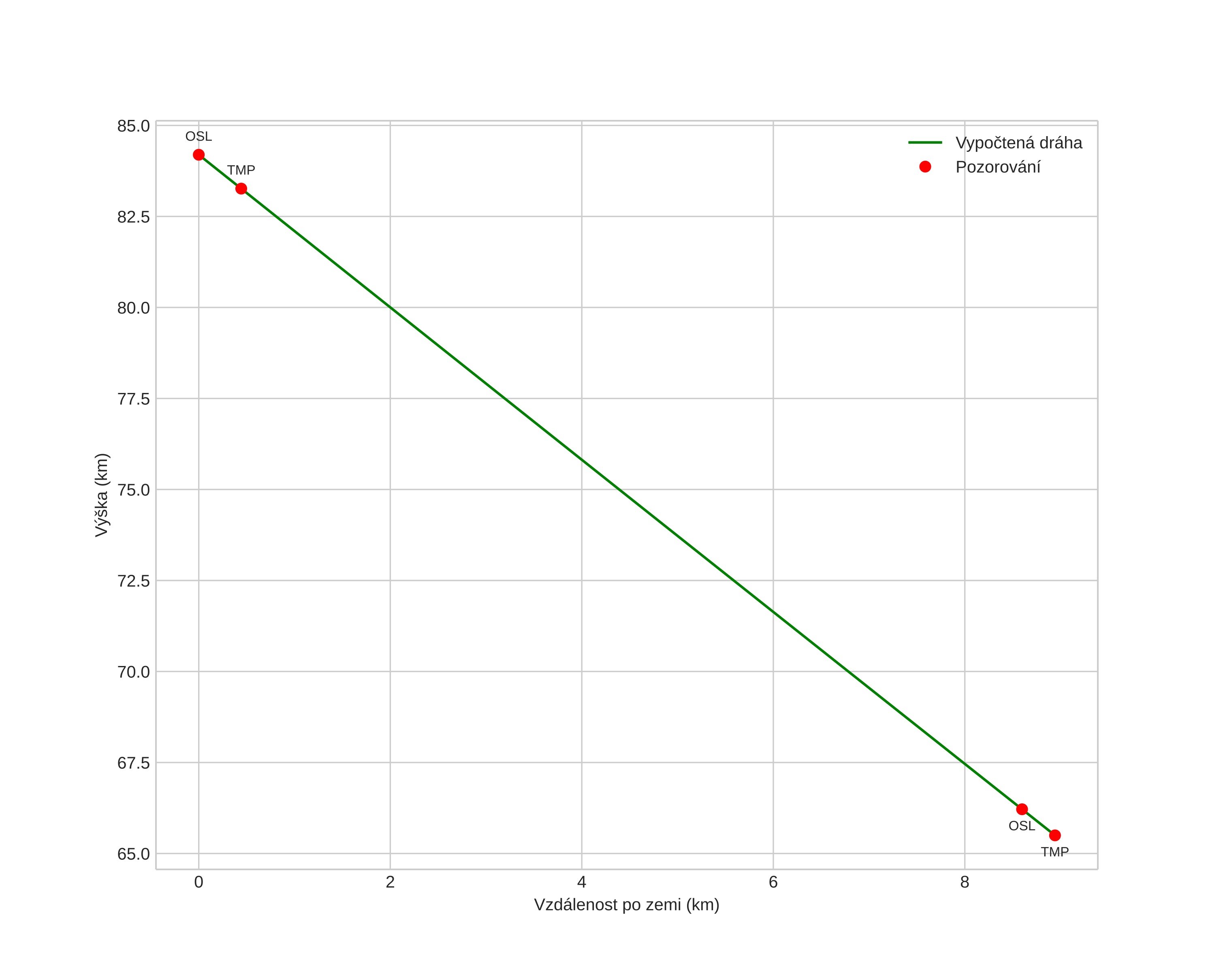
Atmosférická dráha meteoru:
Počáteční výška: 84,2 km
Konečná výška: 65,5 km
Počáteční poloha: 59,417N 7,894E
Konečná poloha: 59,494N 7,940E
Směr: 16,8°
Sklon: 64,4°
VstupnĂ­ rychlost: 18,8 km/s
Rektascenze radiantu: 11:44 (176,2°)
Deklinace radiantu: 31,7°
MeteorickĂ˝ roj: sporadickĂ˝
Elementy dráhy meteoroidu:
Vzdálenost v periheliu: 0,880 AU
Excentricita: 0,675
Sklon dráhy: 11,1°
Délka vzestupného uzlu: 8,0°
Argument perihelia: 225,2°
Střední anomálie: 352,9°
Epocha: 2018 MAR 28 23:29:59
orbit plot

NeinteraktivnĂ­ graf | InteraktivnĂ­ graf

position vs time
speed and acceleration