🇳🇴 🇬🇧 🇩🇪 🇨🇿 🇫🇮

Meteor Dalenin yllä 2018-03-28 23:29:59 UTC

KML-tiedosto  |  Interaktiivinen kartta

Kartta näyttää meteorin suuntahavainnot. Vaaleammat viivat näyttävät suunnat havaintoasemilta meteorin ilmestyessä, ja tummemmat viivat näyttävät, missä se viimeksi nähtiin. Sininen nuoli näyttää meteorin näkyvän lennon.

static map
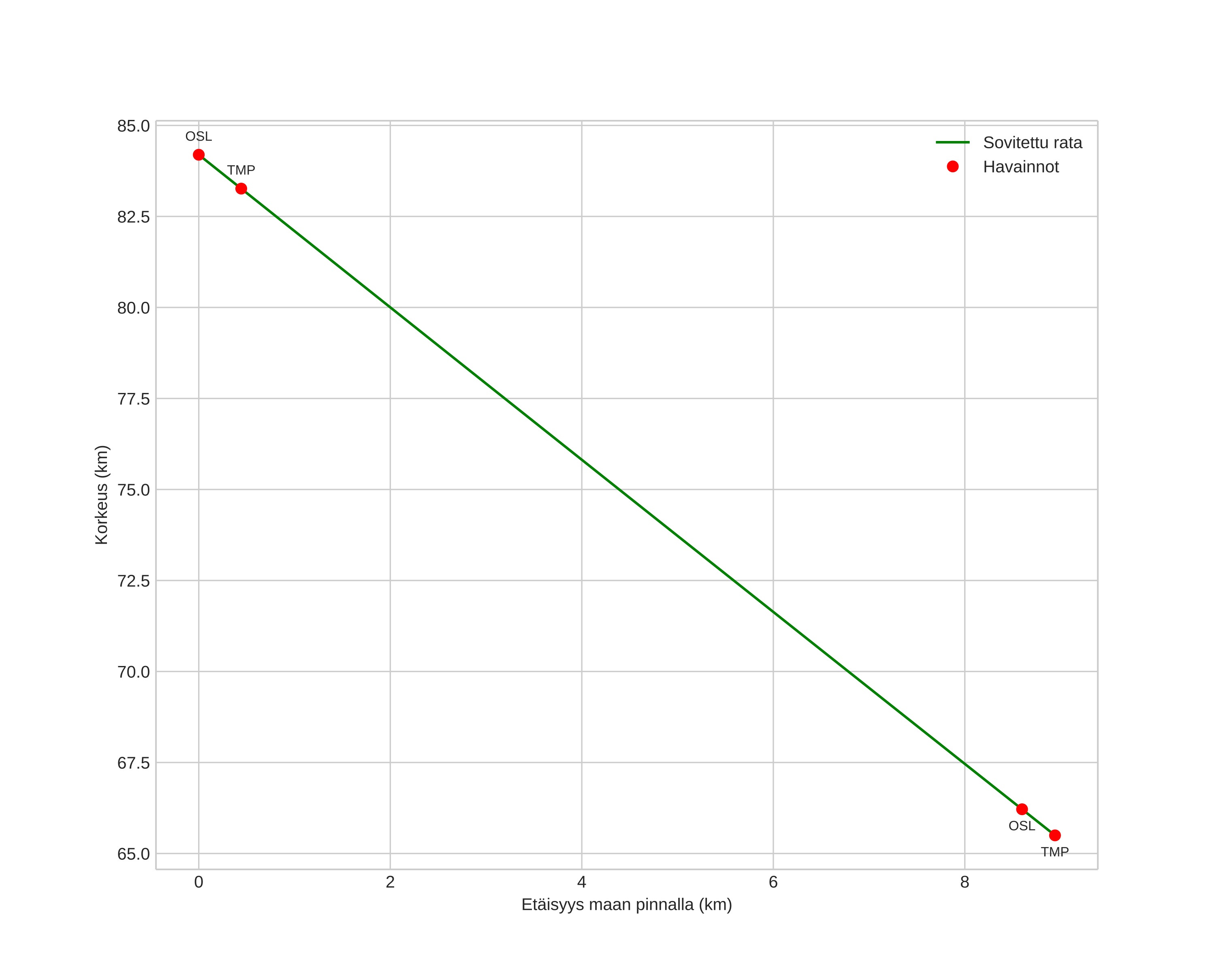
height profile
Meteorin ilmakehärata:
Alkukorkeus: 84,2 km
Loppukorkeus: 65,5 km
Alkupiste: 59,417N 7,894E
Loppupiste: 59,494N 7,940E
Suunta: 16,8°
Kallistuskulma: 64,4°
Tulonopeus: 18,8 km/s
Radiantin R,A,: 11:44 (176,2°)
Radiantin Dekl,: 31,7°
Meteoriparvi: Sporadinen
Meteoroidin rataelementit:
Perihelietäisyys: 0,880 AU
Eksentrisyys: 0,675
Inklinaatio: 11,1°
Nousevan solmun pituus: 8,0°
Perihelin argumentti: 225,2°
Keskianomalia: 352,9°
Epookki: 2018 MAR 28 23:29:59
orbit plot

Ei-interaktiivinen kuvaaja | Interaktiivinen kuvaaja

position vs time
speed and acceleration