🇳🇴 🇬🇧 🇩🇪 🇨🇿 🇫🇮

Meteor, poloha: Rødberg 2018-03-29 20:53:31 UTC

Soubor KML  |  InteraktivnĂ­ mapa

Mapa zobrazuje dráhy meteoru. Světlejší čáry ukazují směry od pozorovacích stanic při objevení se meteoru a tmavší čáry, kde byl naposledy viděn. Modrá šipka značí viditelnou dráhu meteoru.

static map
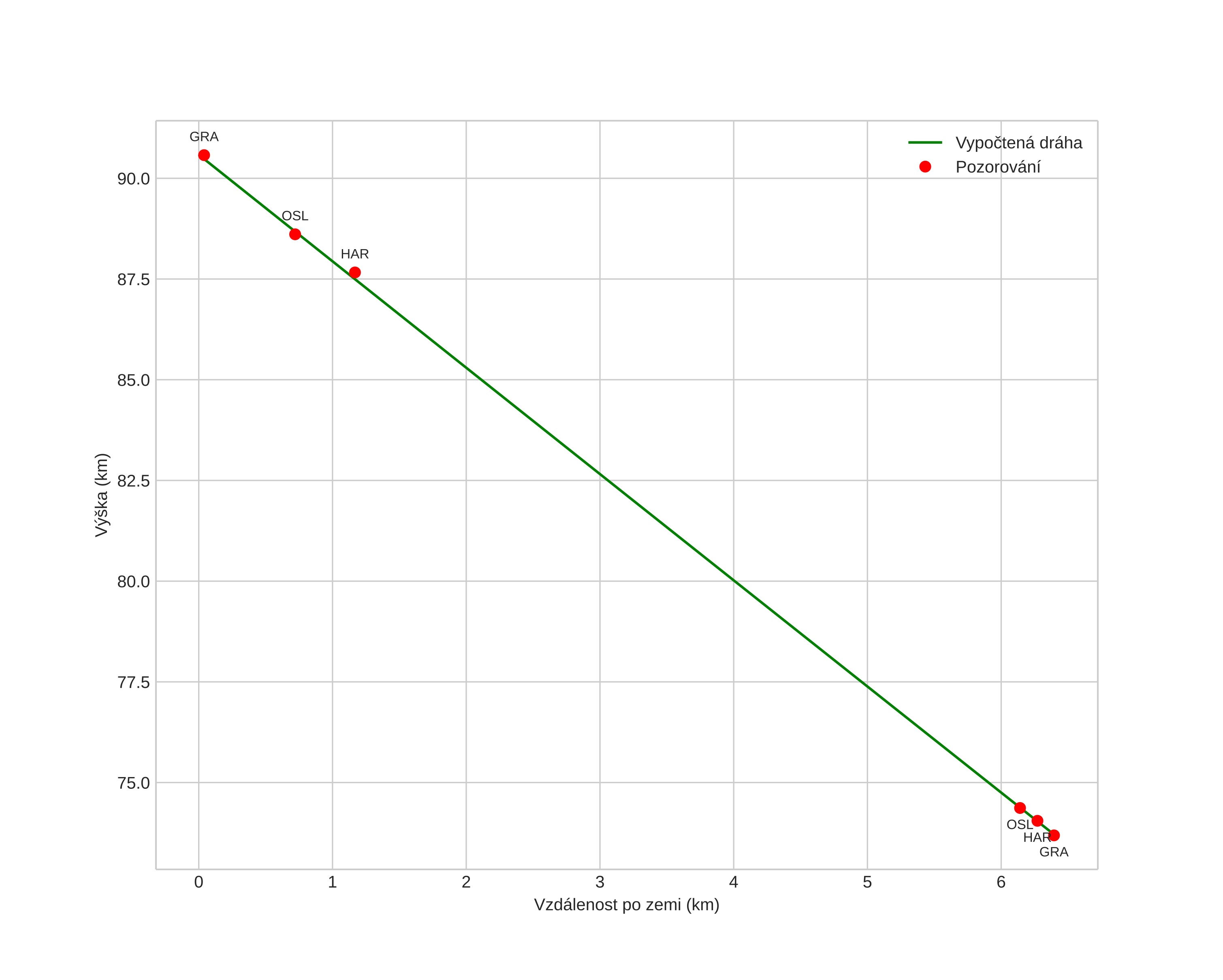
height profile
Atmosférická dráha meteoru:
Počáteční výška: 90,6 km
Konečná výška: 73,7 km
Počáteční poloha: 60,488N 8,889E
Konečná poloha: 60,448N 8,804E
Směr: 226,2°
Sklon: 69,3°
VstupnĂ­ rychlost: 20,6 km/s
Rektascenze radiantu: 13:14 (198,7°)
Deklinace radiantu: 69,6°
MeteorickĂ˝ roj: sporadickĂ˝
Elementy dráhy meteoroidu:
Vzdálenost v periheliu: 0,983 AU
Excentricita: 0,705
Sklon dráhy: 23,9°
Délka vzestupného uzlu: 8,9°
Argument perihelia: 195,8°
Střední anomálie: 358,0°
Epocha: 2018 MAR 29 20:53:31
orbit plot

NeinteraktivnĂ­ graf | InteraktivnĂ­ graf

position vs time
speed and acceleration