🇳🇴 🇬🇧 🇩🇪 🇨🇿 🇫🇮

Meteor Rødbergin yllä 2018-03-29 20:53:31 UTC

KML-tiedosto  |  Interaktiivinen kartta

Kartta näyttää meteorin suuntahavainnot. Vaaleammat viivat näyttävät suunnat havaintoasemilta meteorin ilmestyessä, ja tummemmat viivat näyttävät, missä se viimeksi nähtiin. Sininen nuoli näyttää meteorin näkyvän lennon.

static map
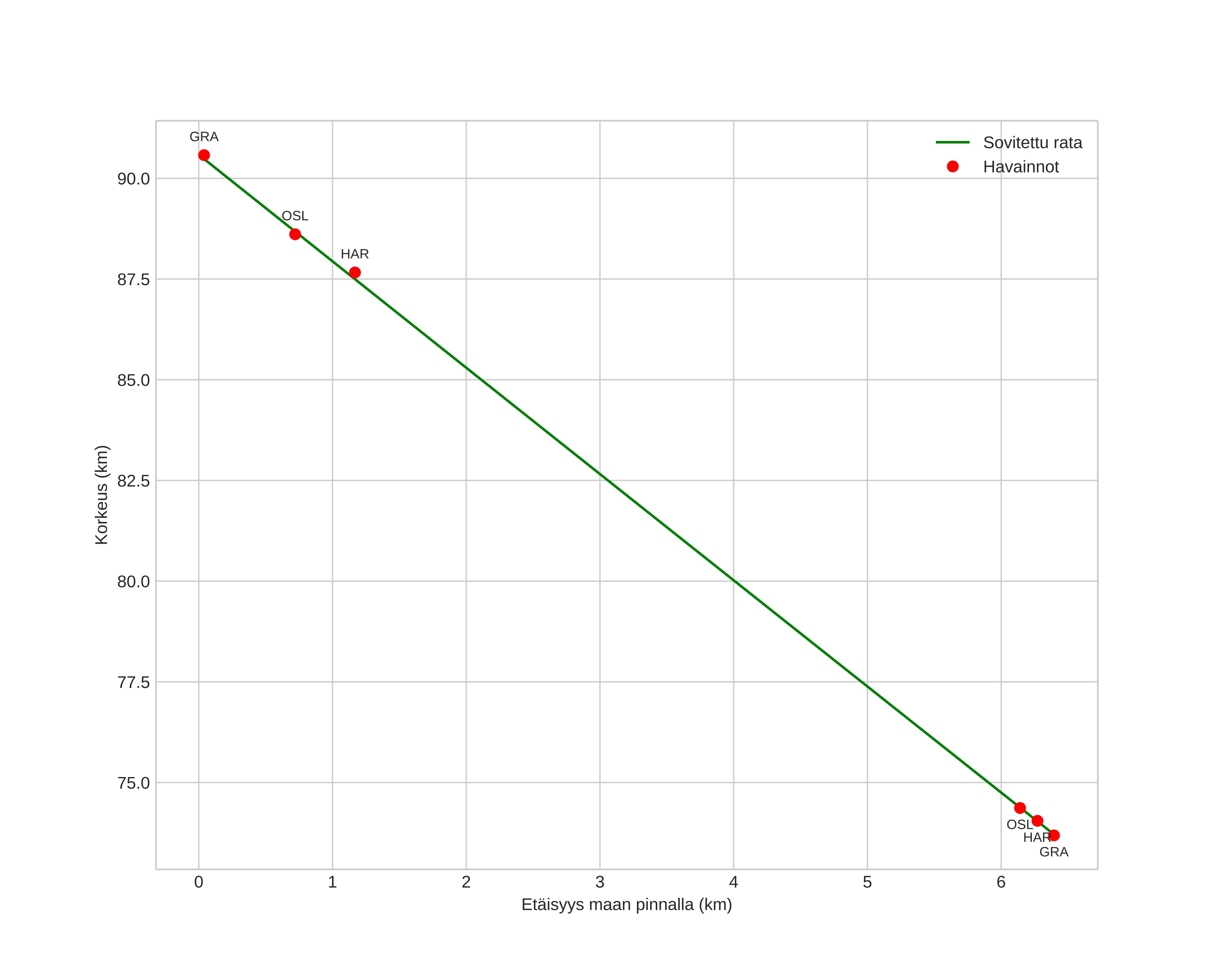
height profile
Meteorin ilmakehärata:
Alkukorkeus: 90,6 km
Loppukorkeus: 73,7 km
Alkupiste: 60,488N 8,889E
Loppupiste: 60,448N 8,804E
Suunta: 226,2°
Kallistuskulma: 69,3°
Tulonopeus: 20,6 km/s
Radiantin R,A,: 13:14 (198,7°)
Radiantin Dekl,: 69,6°
Meteoriparvi: Sporadinen
Meteoroidin rataelementit:
Perihelietäisyys: 0,983 AU
Eksentrisyys: 0,705
Inklinaatio: 23,9°
Nousevan solmun pituus: 8,9°
Perihelin argumentti: 195,8°
Keskianomalia: 358,0°
Epookki: 2018 MAR 29 20:53:31
orbit plot

Ei-interaktiivinen kuvaaja | Interaktiivinen kuvaaja

position vs time
speed and acceleration