🇳🇴 🇬🇧 🇩🇪 🇨🇿 🇫🇮

Meteor, poloha: Tolga 2018-04-01 02:18:43 UTC

Soubor KML  |  InteraktivnĂ­ mapa

Mapa zobrazuje dráhy meteoru. Světlejší čáry ukazují směry od pozorovacích stanic při objevení se meteoru a tmavší čáry, kde byl naposledy viděn. Modrá šipka značí viditelnou dráhu meteoru.

static map
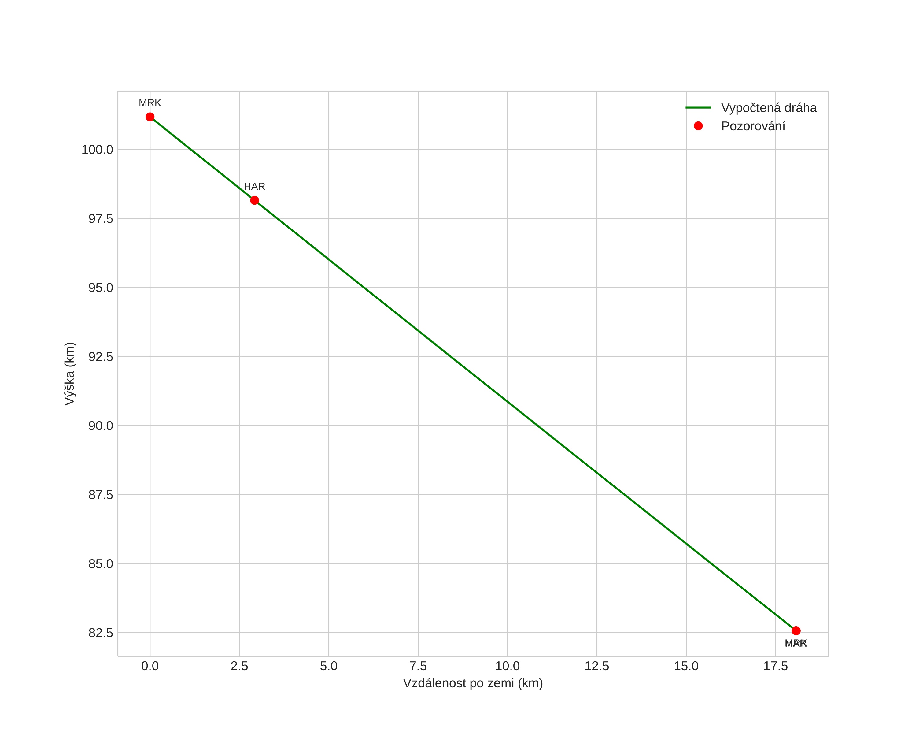
height profile
Atmosférická dráha meteoru:
Počáteční výška: 101,2 km
Konečná výška: 82,6 km
Počáteční poloha: 62,364N 11,258E
Konečná poloha: 62,504N 11,080E
Směr: 329,7°
Sklon: 45,8°
VstupnĂ­ rychlost: 54,8 km/s
Rektascenze radiantu: 17:08 (257,1°)
Deklinace radiantu: 20,4°
MeteorickĂ˝ roj: sporadickĂ˝
Elementy dráhy meteoroidu:
Vzdálenost v periheliu: 0,803 AU
Excentricita: 0,910
Sklon dráhy: 97,5°
Délka vzestupného uzlu: 11,1°
Argument perihelia: 234,0°
Střední anomálie: 358,8°
Epocha: 2018 APR 01 02:18:43
orbit plot

NeinteraktivnĂ­ graf | InteraktivnĂ­ graf

position vs time
speed and acceleration