🇳🇴 🇬🇧 🇩🇪 🇨🇿 🇫🇮

Meteor Tolgan yllä 2018-04-01 02:18:43 UTC

KML-tiedosto  |  Interaktiivinen kartta

Kartta näyttää meteorin suuntahavainnot. Vaaleammat viivat näyttävät suunnat havaintoasemilta meteorin ilmestyessä, ja tummemmat viivat näyttävät, missä se viimeksi nähtiin. Sininen nuoli näyttää meteorin näkyvän lennon.

static map
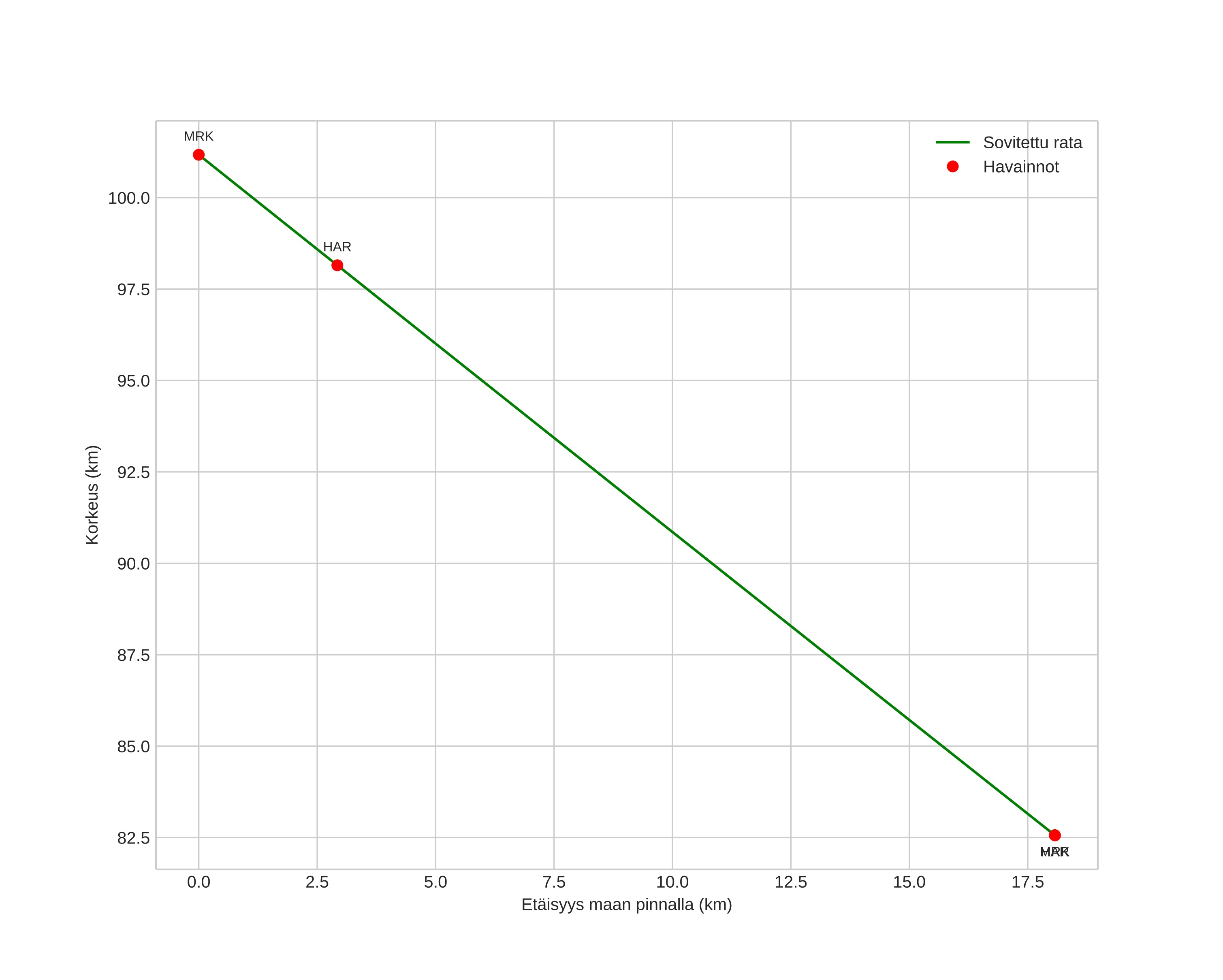
height profile
Meteorin ilmakehärata:
Alkukorkeus: 101,2 km
Loppukorkeus: 82,6 km
Alkupiste: 62,364N 11,258E
Loppupiste: 62,504N 11,080E
Suunta: 329,7°
Kallistuskulma: 45,8°
Tulonopeus: 54,8 km/s
Radiantin R,A,: 17:08 (257,1°)
Radiantin Dekl,: 20,4°
Meteoriparvi: Sporadinen
Meteoroidin rataelementit:
Perihelietäisyys: 0,803 AU
Eksentrisyys: 0,910
Inklinaatio: 97,5°
Nousevan solmun pituus: 11,1°
Perihelin argumentti: 234,0°
Keskianomalia: 358,8°
Epookki: 2018 APR 01 02:18:43
orbit plot

Ei-interaktiivinen kuvaaja | Interaktiivinen kuvaaja

position vs time
speed and acceleration