🇳🇴 🇬🇧 🇩🇪 🇨🇿 🇫🇮

Meteor, poloha: Valle 2018-04-01 22:30:03 UTC

Soubor KML  |  InteraktivnĂ­ mapa

Mapa zobrazuje dráhy meteoru. Světlejší čáry ukazují směry od pozorovacích stanic při objevení se meteoru a tmavší čáry, kde byl naposledy viděn. Modrá šipka značí viditelnou dráhu meteoru.

static map
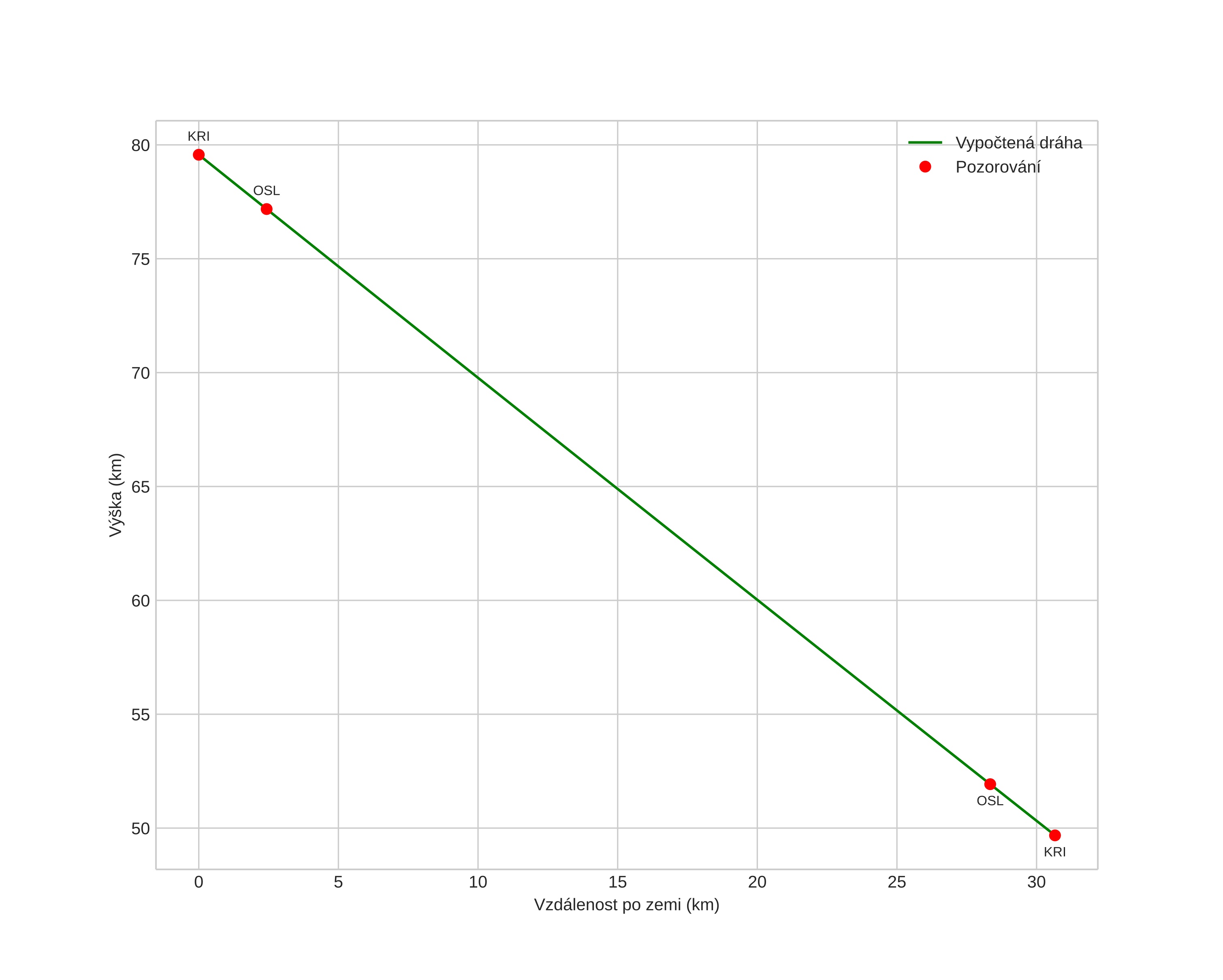
height profile
Atmosférická dráha meteoru:
Počáteční výška: 79,6 km
Konečná výška: 49,7 km
Počáteční poloha: 59,297N 7,526E
Konečná poloha: 59,043N 7,317E
Směr: 202,9°
Sklon: 44,3°
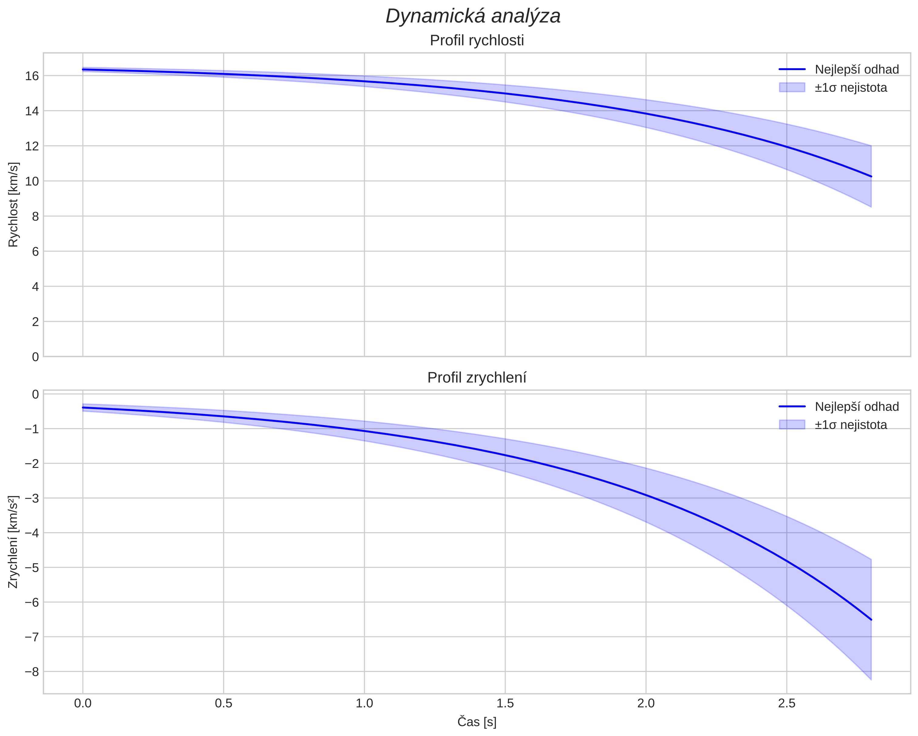
VstupnĂ­ rychlost: 16,3 km/s
Rektascenze radiantu: 20:52 (313,0°)
Deklinace radiantu: 63,6°
MeteorickĂ˝ roj: sporadickĂ˝
Elementy dráhy meteoroidu:
Vzdálenost v periheliu: 0,946 AU
Excentricita: 0,205
Sklon dráhy: 20,9°
Délka vzestupného uzlu: 11,9°
Argument perihelia: 133,1°
Střední anomálie: 31,5°
Epocha: 2018 APR 01 22:30:03
orbit plot

NeinteraktivnĂ­ graf | InteraktivnĂ­ graf

position vs time
speed and acceleration