🇳🇴 🇬🇧 🇩🇪 🇨🇿 🇫🇮

Meteor Vallen yllä 2018-04-01 22:30:03 UTC

KML-tiedosto  |  Interaktiivinen kartta

Kartta näyttää meteorin suuntahavainnot. Vaaleammat viivat näyttävät suunnat havaintoasemilta meteorin ilmestyessä, ja tummemmat viivat näyttävät, missä se viimeksi nähtiin. Sininen nuoli näyttää meteorin näkyvän lennon.

static map
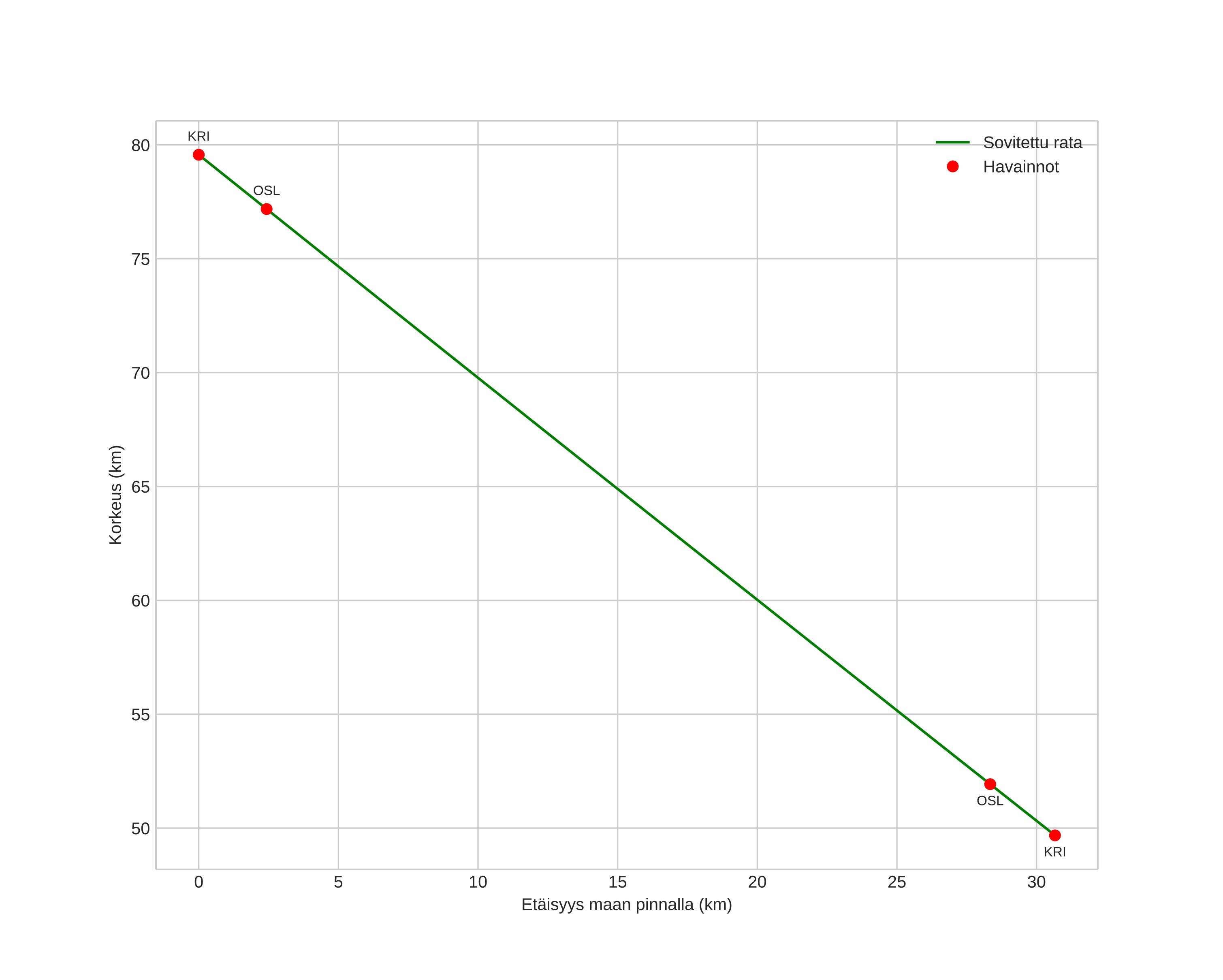
height profile
Meteorin ilmakehärata:
Alkukorkeus: 79,6 km
Loppukorkeus: 49,7 km
Alkupiste: 59,297N 7,526E
Loppupiste: 59,043N 7,317E
Suunta: 202,9°
Kallistuskulma: 44,3°
Tulonopeus: 16,3 km/s
Radiantin R,A,: 20:52 (313,0°)
Radiantin Dekl,: 63,6°
Meteoriparvi: Sporadinen
Meteoroidin rataelementit:
Perihelietäisyys: 0,946 AU
Eksentrisyys: 0,205
Inklinaatio: 20,9°
Nousevan solmun pituus: 11,9°
Perihelin argumentti: 133,1°
Keskianomalia: 31,5°
Epookki: 2018 APR 01 22:30:03
orbit plot

Ei-interaktiivinen kuvaaja | Interaktiivinen kuvaaja

position vs time
speed and acceleration