🇳🇴 🇬🇧 🇩🇪 🇨🇿 🇫🇮

Meteor, poloha: Ringebu 2018-04-02 02:54:10 UTC

Soubor KML  |  InteraktivnĂ­ mapa

Mapa zobrazuje dráhy meteoru. Světlejší čáry ukazují směry od pozorovacích stanic při objevení se meteoru a tmavší čáry, kde byl naposledy viděn. Modrá šipka značí viditelnou dráhu meteoru.

static map
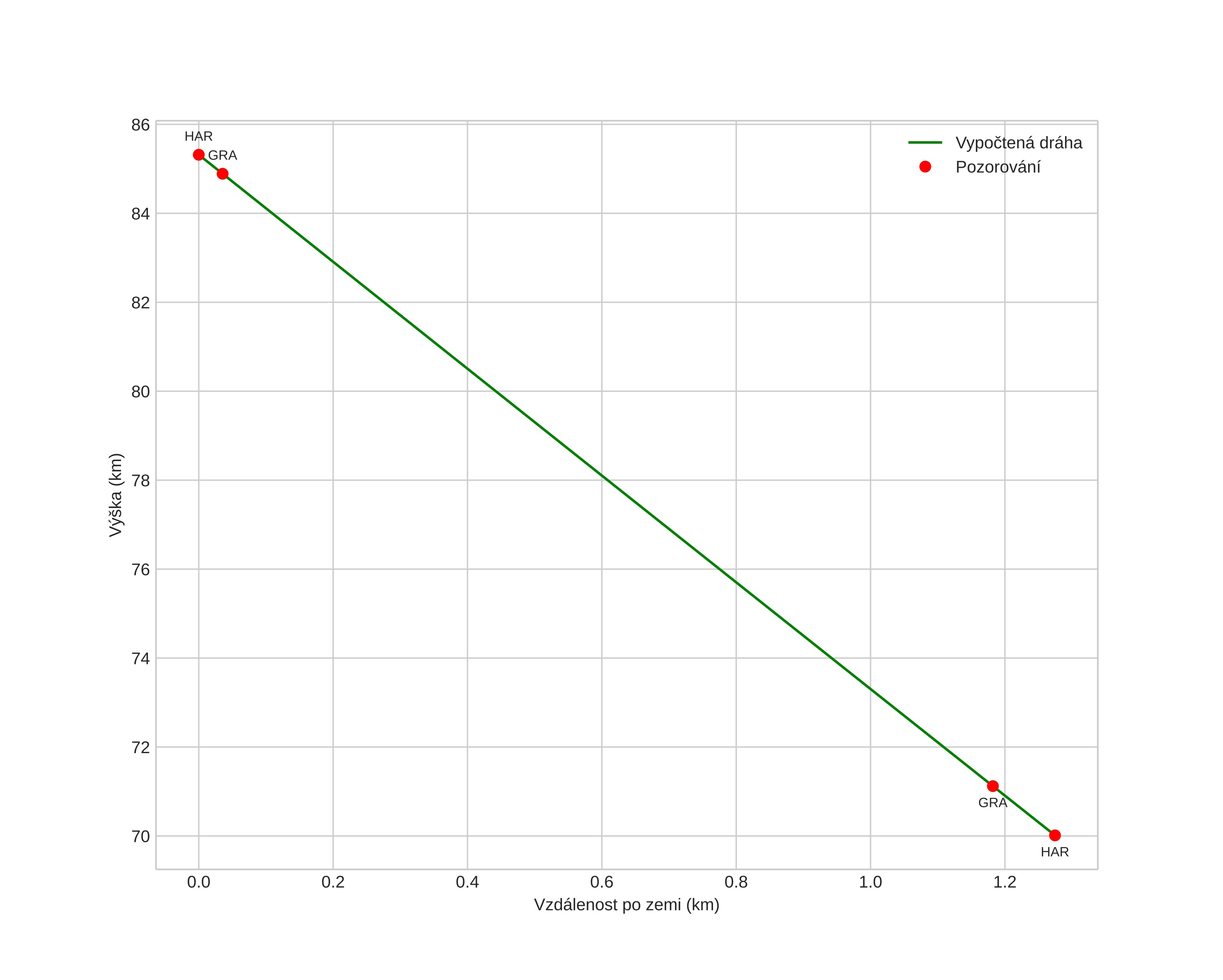
height profile
Atmosférická dráha meteoru:
Počáteční výška: 85,3 km
Konečná výška: 70,0 km
Počáteční poloha: 61,703N 10,170E
Konečná poloha: 61,711N 10,187E
Směr: 45,4°
Sklon: 85,2°
VstupnĂ­ rychlost: 19,3 km/s
Rektascenze radiantu: 15:42 (235,6°)
Deklinace radiantu: 57,6°
MeteorickĂ˝ roj: sporadickĂ˝
Elementy dráhy meteoroidu:
Vzdálenost v periheliu: 0,961 AU
Excentricita: 0,298
Sklon dráhy: 26,8°
Délka vzestupného uzlu: 12,1°
Argument perihelia: 213,6°
Střední anomálie: 342,2°
Epocha: 2018 APR 02 02:54:10
orbit plot

NeinteraktivnĂ­ graf | InteraktivnĂ­ graf

position vs time
speed and acceleration