🇳🇴 🇬🇧 🇩🇪 🇨🇿 🇫🇮

Meteor Ringebun yllä 2018-04-02 02:54:10 UTC

KML-tiedosto  |  Interaktiivinen kartta

Kartta näyttää meteorin suuntahavainnot. Vaaleammat viivat näyttävät suunnat havaintoasemilta meteorin ilmestyessä, ja tummemmat viivat näyttävät, missä se viimeksi nähtiin. Sininen nuoli näyttää meteorin näkyvän lennon.

static map
height profile
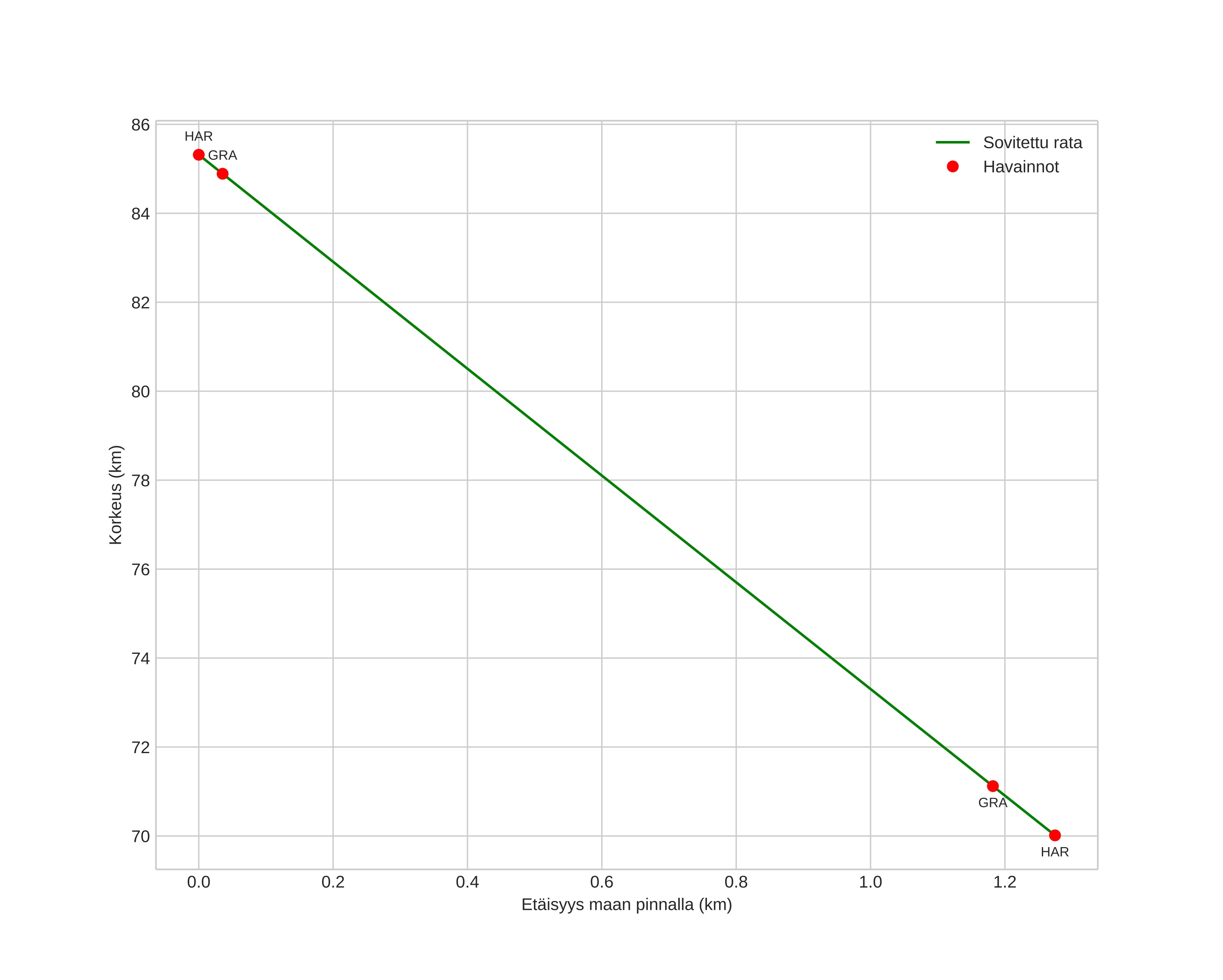
Meteorin ilmakehärata:
Alkukorkeus: 85,3 km
Loppukorkeus: 70,0 km
Alkupiste: 61,703N 10,170E
Loppupiste: 61,711N 10,187E
Suunta: 45,4°
Kallistuskulma: 85,2°
Tulonopeus: 19,3 km/s
Radiantin R,A,: 15:42 (235,6°)
Radiantin Dekl,: 57,6°
Meteoriparvi: Sporadinen
Meteoroidin rataelementit:
Perihelietäisyys: 0,961 AU
Eksentrisyys: 0,298
Inklinaatio: 26,8°
Nousevan solmun pituus: 12,1°
Perihelin argumentti: 213,6°
Keskianomalia: 342,2°
Epookki: 2018 APR 02 02:54:10
orbit plot

Ei-interaktiivinen kuvaaja | Interaktiivinen kuvaaja

position vs time
speed and acceleration