🇳🇴 🇬🇧 🇩🇪 🇨🇿 🇫🇮

Meteor, poloha: Töcksfors 2018-04-11 22:12:23 UTC

Soubor KML  |  InteraktivnĂ­ mapa

Mapa zobrazuje dráhy meteoru. Světlejší čáry ukazují směry od pozorovacích stanic při objevení se meteoru a tmavší čáry, kde byl naposledy viděn. Modrá šipka značí viditelnou dráhu meteoru.

static map
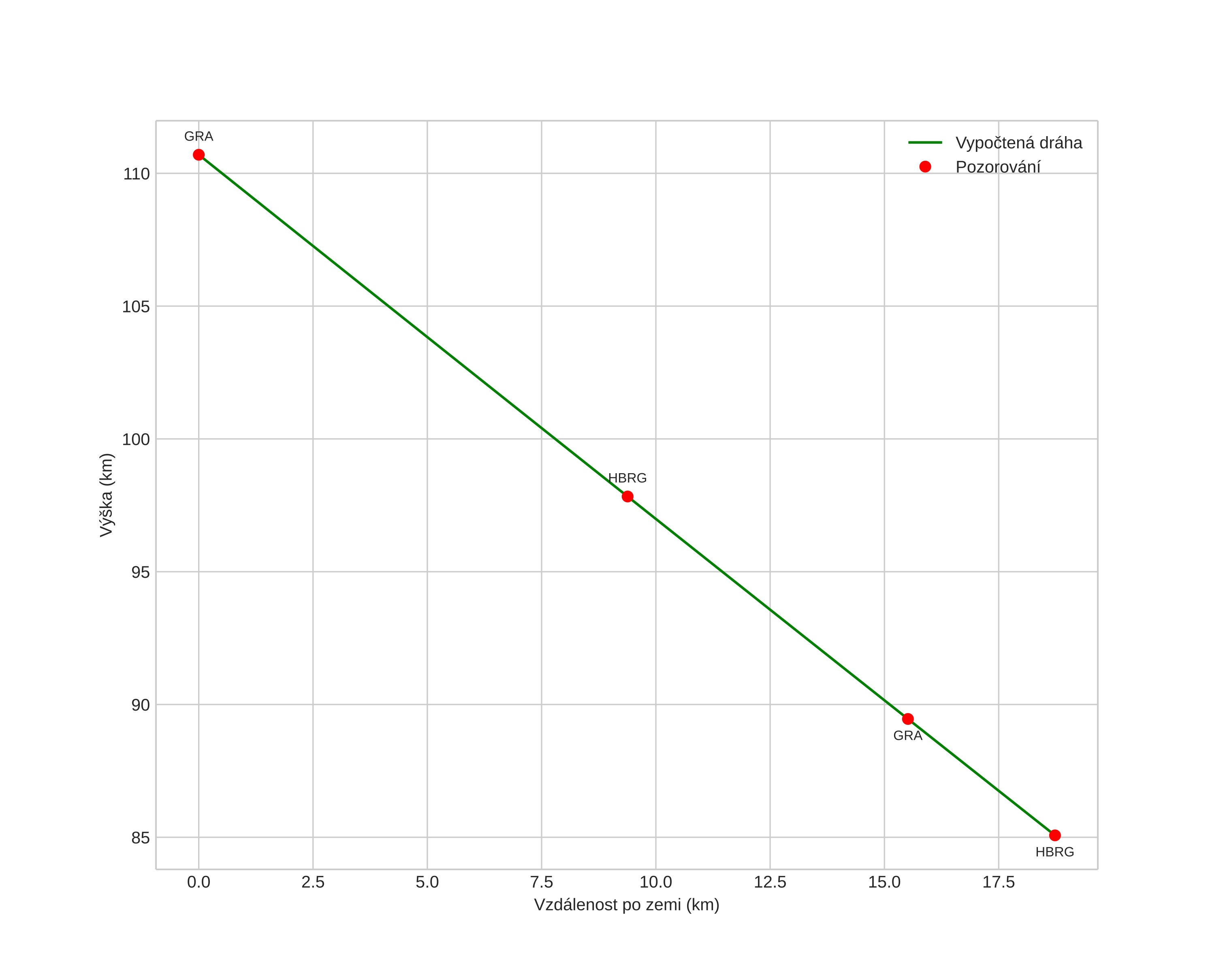
height profile
Atmosférická dráha meteoru:
Počáteční výška: 110,7 km
Konečná výška: 85,1 km
Počáteční poloha: 59,605N 12,312E
Konečná poloha: 59,695N 12,030E
Směr: 302,2°
Sklon: 53,8°
VstupnĂ­ rychlost: 41,4 km/s
Rektascenze radiantu: 14:46 (221,6°)
Deklinace radiantu: 31,9°
MeteorickĂ˝ roj: sporadickĂ˝
Elementy dráhy meteoroidu:
Vzdálenost v periheliu: 0,724 AU
Excentricita: 1,446
Sklon dráhy: 45,4°
Délka vzestupného uzlu: 21,7°
Argument perihelia: 237,9°
Střední anomálie: -13,9°
Epocha: 2018 APR 11 22:12:23
orbit plot

NeinteraktivnĂ­ graf | InteraktivnĂ­ graf

position vs time
speed and acceleration