🇳🇴 🇬🇧 🇩🇪 🇨🇿 🇫🇮

Meteor Töcksforsin yllä 2018-04-11 22:12:23 UTC

KML-tiedosto  |  Interaktiivinen kartta

Kartta näyttää meteorin suuntahavainnot. Vaaleammat viivat näyttävät suunnat havaintoasemilta meteorin ilmestyessä, ja tummemmat viivat näyttävät, missä se viimeksi nähtiin. Sininen nuoli näyttää meteorin näkyvän lennon.

static map
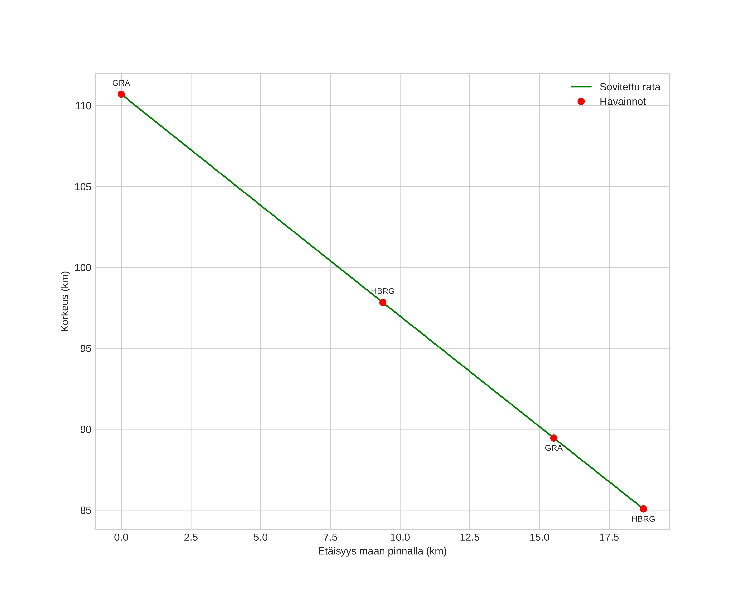
height profile
Meteorin ilmakehärata:
Alkukorkeus: 110,7 km
Loppukorkeus: 85,1 km
Alkupiste: 59,605N 12,312E
Loppupiste: 59,695N 12,030E
Suunta: 302,2°
Kallistuskulma: 53,8°
Tulonopeus: 41,4 km/s
Radiantin R,A,: 14:46 (221,6°)
Radiantin Dekl,: 31,9°
Meteoriparvi: Sporadinen
Meteoroidin rataelementit:
Perihelietäisyys: 0,724 AU
Eksentrisyys: 1,446
Inklinaatio: 45,4°
Nousevan solmun pituus: 21,7°
Perihelin argumentti: 237,9°
Keskianomalia: -13,9°
Epookki: 2018 APR 11 22:12:23
orbit plot

Ei-interaktiivinen kuvaaja | Interaktiivinen kuvaaja

position vs time
speed and acceleration