🇳🇴 🇬🇧 🇩🇪 🇨🇿 🇫🇮

Meteor, poloha: Byrum 2018-04-15 00:08:27 UTC

Soubor KML  |  InteraktivnĂ­ mapa

Mapa zobrazuje dráhy meteoru. Světlejší čáry ukazují směry od pozorovacích stanic při objevení se meteoru a tmavší čáry, kde byl naposledy viděn. Modrá šipka značí viditelnou dráhu meteoru.

static map
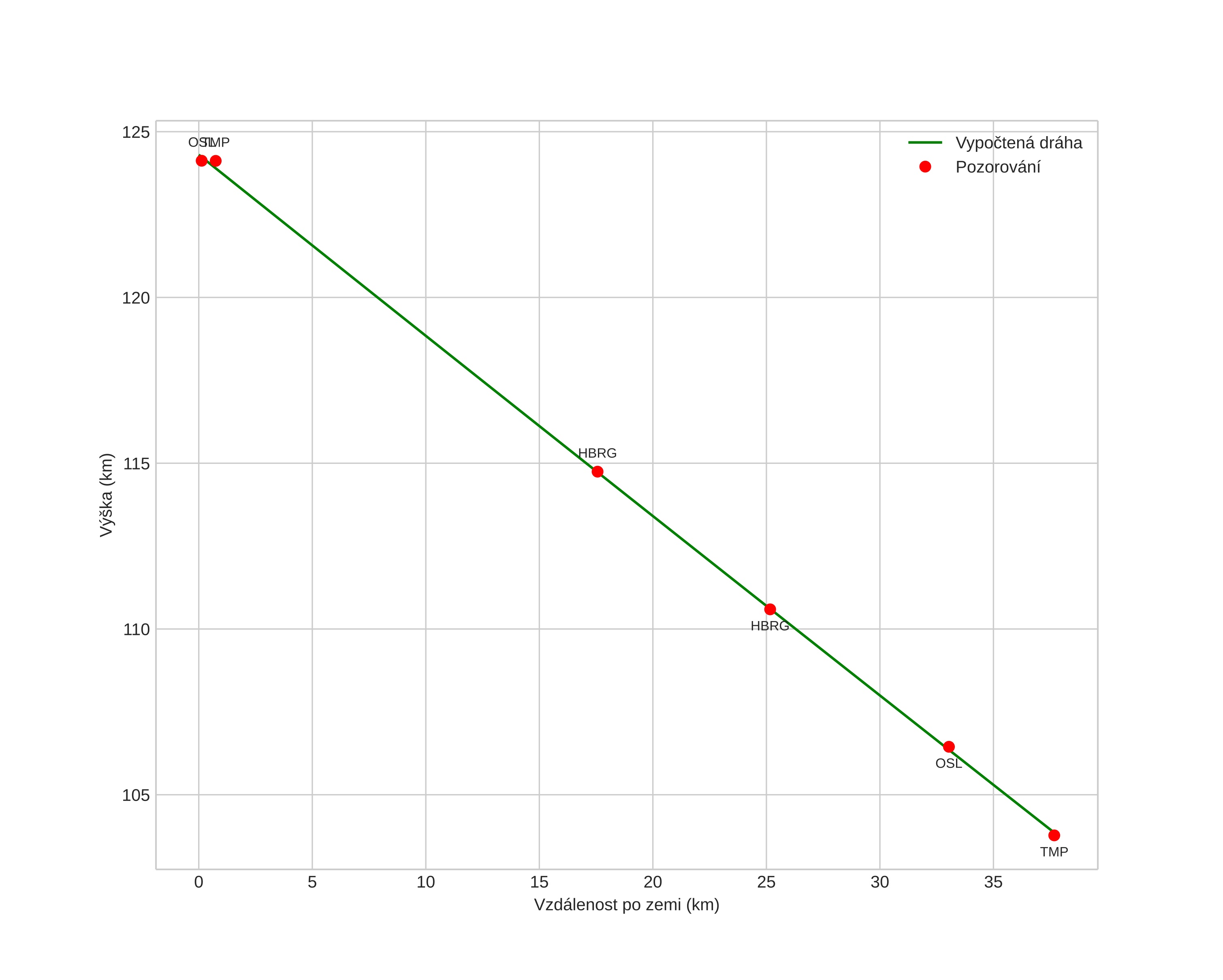
height profile
Atmosférická dráha meteoru:
Počáteční výška: 124,3 km
Konečná výška: 103,8 km
Počáteční poloha: 57,267N 11,788E
Konečná poloha: 57,164N 11,191E
Směr: 252,6°
Sklon: 28,5°
VstupnĂ­ rychlost: 62,9 km/s
Rektascenze radiantu: 20:18 (304,5°)
Deklinace radiantu: 32,5°
MeteorickĂ˝ roj: sporadickĂ˝
Elementy dráhy meteoroidu:
Vzdálenost v periheliu: 0,922 AU
Excentricita: 1,824
Sklon dráhy: 97,6°
Délka vzestupného uzlu: 24,7°
Argument perihelia: 151,0°
Střední anomálie: 13,7°
Epocha: 2018 APR 15 00:08:27
orbit plot

NeinteraktivnĂ­ graf | InteraktivnĂ­ graf

position vs time
speed and acceleration