🇳🇴 🇬🇧 🇩🇪 🇨🇿 🇫🇮

Meteor Byrumin yllä 2018-04-15 00:08:27 UTC

KML-tiedosto  |  Interaktiivinen kartta

Kartta näyttää meteorin suuntahavainnot. Vaaleammat viivat näyttävät suunnat havaintoasemilta meteorin ilmestyessä, ja tummemmat viivat näyttävät, missä se viimeksi nähtiin. Sininen nuoli näyttää meteorin näkyvän lennon.

static map
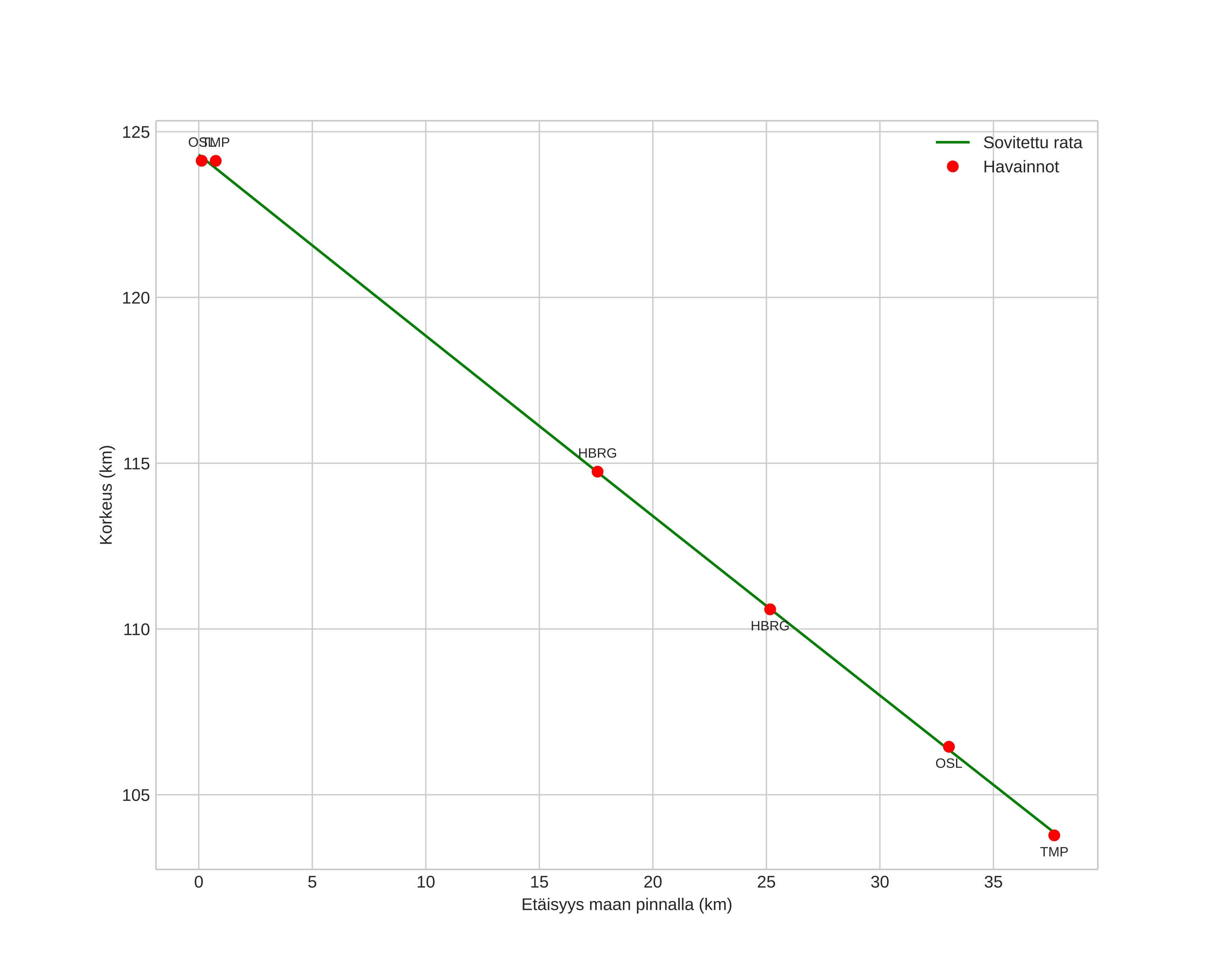
height profile
Meteorin ilmakehärata:
Alkukorkeus: 124,3 km
Loppukorkeus: 103,8 km
Alkupiste: 57,267N 11,788E
Loppupiste: 57,164N 11,191E
Suunta: 252,6°
Kallistuskulma: 28,5°
Tulonopeus: 62,9 km/s
Radiantin R,A,: 20:18 (304,5°)
Radiantin Dekl,: 32,5°
Meteoriparvi: Sporadinen
Meteoroidin rataelementit:
Perihelietäisyys: 0,922 AU
Eksentrisyys: 1,824
Inklinaatio: 97,6°
Nousevan solmun pituus: 24,7°
Perihelin argumentti: 151,0°
Keskianomalia: 13,7°
Epookki: 2018 APR 15 00:08:27
orbit plot

Ei-interaktiivinen kuvaaja | Interaktiivinen kuvaaja

position vs time
speed and acceleration