🇳🇴 🇬🇧 🇩🇪 🇨🇿 🇫🇮

Meteor, poloha: Farnes 2018-04-20 23:18:04 UTC

Soubor KML  |  InteraktivnĂ­ mapa

Mapa zobrazuje dráhy meteoru. Světlejší čáry ukazují směry od pozorovacích stanic při objevení se meteoru a tmavší čáry, kde byl naposledy viděn. Modrá šipka značí viditelnou dráhu meteoru.

static map
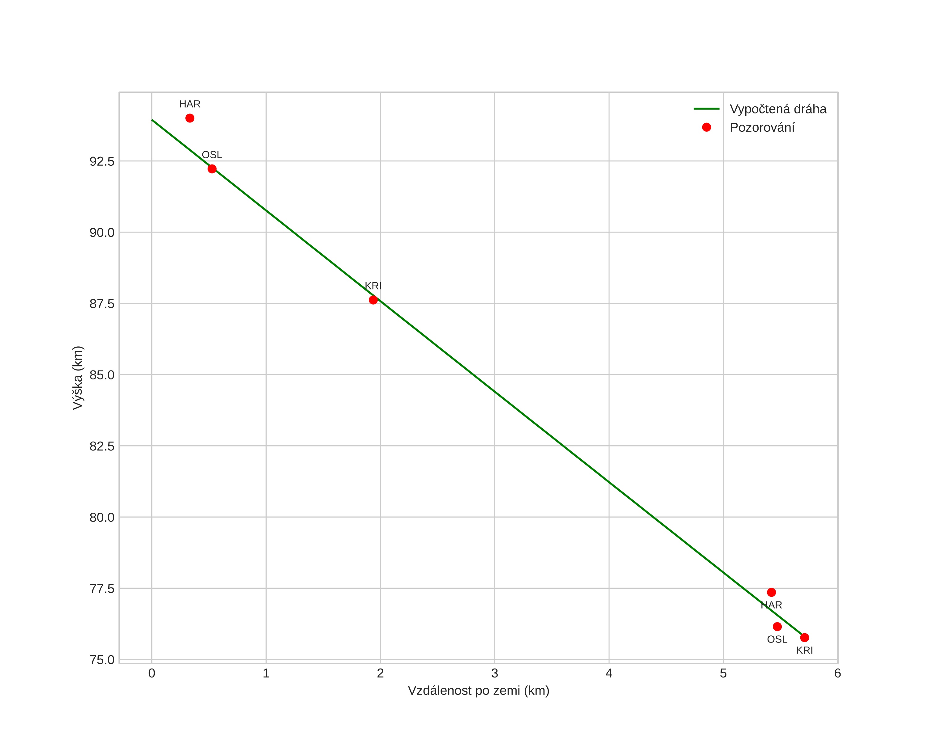
height profile
Atmosférická dráha meteoru:
Počáteční výška: 93,9 km
Konečná výška: 75,8 km
Počáteční poloha: 61,295N 7,801E
Konečná poloha: 61,249N 7,850E
Směr: 152,7°
Sklon: 72,5°
VstupnĂ­ rychlost: 20,3 km/s
Rektascenze radiantu: 11:07 (167,0°)
Deklinace radiantu: 75,1°
MeteorickĂ˝ roj: sporadickĂ˝
Elementy dráhy meteoroidu:
Vzdálenost v periheliu: 1,005 AU
Excentricita: 0,899
Sklon dráhy: 21,0°
Délka vzestupného uzlu: 30,6°
Argument perihelia: 178,3°
Střední anomálie: 0,0°
Epocha: 2018 APR 20 23:18:04
orbit plot

NeinteraktivnĂ­ graf | InteraktivnĂ­ graf

position vs time
speed and acceleration