🇳🇴 🇬🇧 🇩🇪 🇨🇿 🇫🇮

Meteor Farnesin yllä 2018-04-20 23:18:04 UTC

KML-tiedosto  |  Interaktiivinen kartta

Kartta näyttää meteorin suuntahavainnot. Vaaleammat viivat näyttävät suunnat havaintoasemilta meteorin ilmestyessä, ja tummemmat viivat näyttävät, missä se viimeksi nähtiin. Sininen nuoli näyttää meteorin näkyvän lennon.

static map
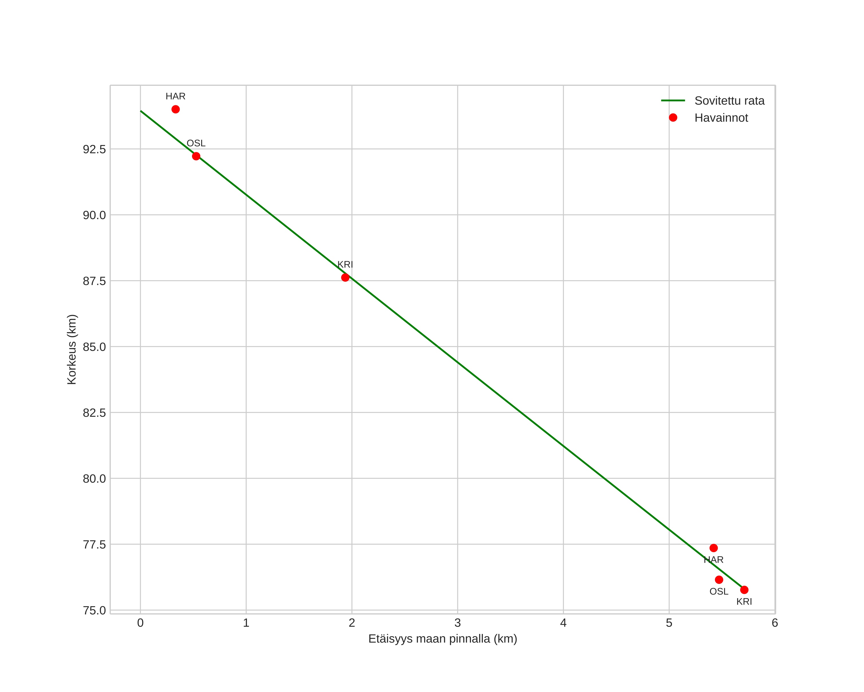
height profile
Meteorin ilmakehärata:
Alkukorkeus: 93,9 km
Loppukorkeus: 75,8 km
Alkupiste: 61,295N 7,801E
Loppupiste: 61,249N 7,850E
Suunta: 152,7°
Kallistuskulma: 72,5°
Tulonopeus: 20,3 km/s
Radiantin R,A,: 11:07 (167,0°)
Radiantin Dekl,: 75,1°
Meteoriparvi: Sporadinen
Meteoroidin rataelementit:
Perihelietäisyys: 1,005 AU
Eksentrisyys: 0,899
Inklinaatio: 21,0°
Nousevan solmun pituus: 30,6°
Perihelin argumentti: 178,3°
Keskianomalia: 0,0°
Epookki: 2018 APR 20 23:18:04
orbit plot

Ei-interaktiivinen kuvaaja | Interaktiivinen kuvaaja

position vs time
speed and acceleration