🇳🇴 🇬🇧 🇩🇪 🇨🇿 🇫🇮

Meteor, poloha: Sjølyststranda 2018-08-01 21:26:30 UTC

Soubor KML  |  InteraktivnĂ­ mapa

Mapa zobrazuje dráhy meteoru. Světlejší čáry ukazují směry od pozorovacích stanic při objevení se meteoru a tmavší čáry, kde byl naposledy viděn. Modrá šipka značí viditelnou dráhu meteoru.

static map
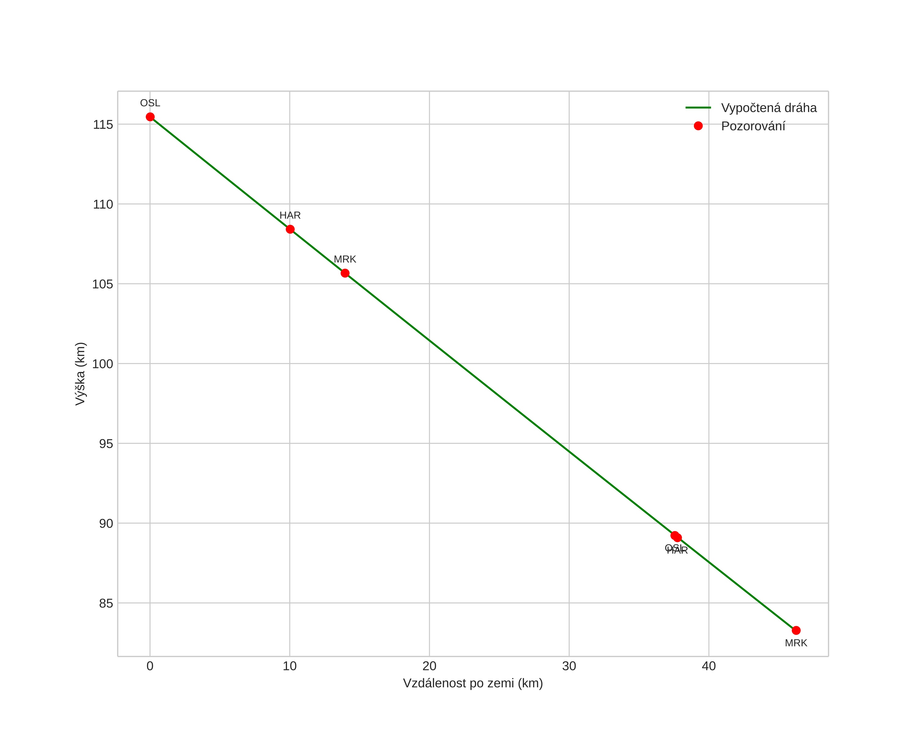
height profile
Atmosférická dráha meteoru:
Počáteční výška: 115,5 km
Konečná výška: 83,3 km
Počáteční poloha: 60,365N 11,212E
Konečná poloha: 60,067N 10,626E
Směr: 224,6°
Sklon: 34,9°
VstupnĂ­ rychlost: 57,5 km/s
Rektascenze radiantu: 02:19 (34,8°)
Deklinace radiantu: 51,4°
MeteorickĂ˝ roj: Perseidy
Elementy dráhy meteoroidu:
Vzdálenost v periheliu: 0,932 AU
Excentricita: 0,612
Sklon dráhy: 115,9°
Délka vzestupného uzlu: 129,3°
Argument perihelia: 141,6°
Střední anomálie: 7,7°
Epocha: 2018 AUG 01 21:26:30
orbit plot

NeinteraktivnĂ­ graf | InteraktivnĂ­ graf

position vs time
speed and acceleration