🇳🇴 🇬🇧 🇩🇪 🇨🇿 🇫🇮

Meteor Sjølyststrandan yllä 2018-08-01 21:26:30 UTC

KML-tiedosto  |  Interaktiivinen kartta

Kartta näyttää meteorin suuntahavainnot. Vaaleammat viivat näyttävät suunnat havaintoasemilta meteorin ilmestyessä, ja tummemmat viivat näyttävät, missä se viimeksi nähtiin. Sininen nuoli näyttää meteorin näkyvän lennon.

static map
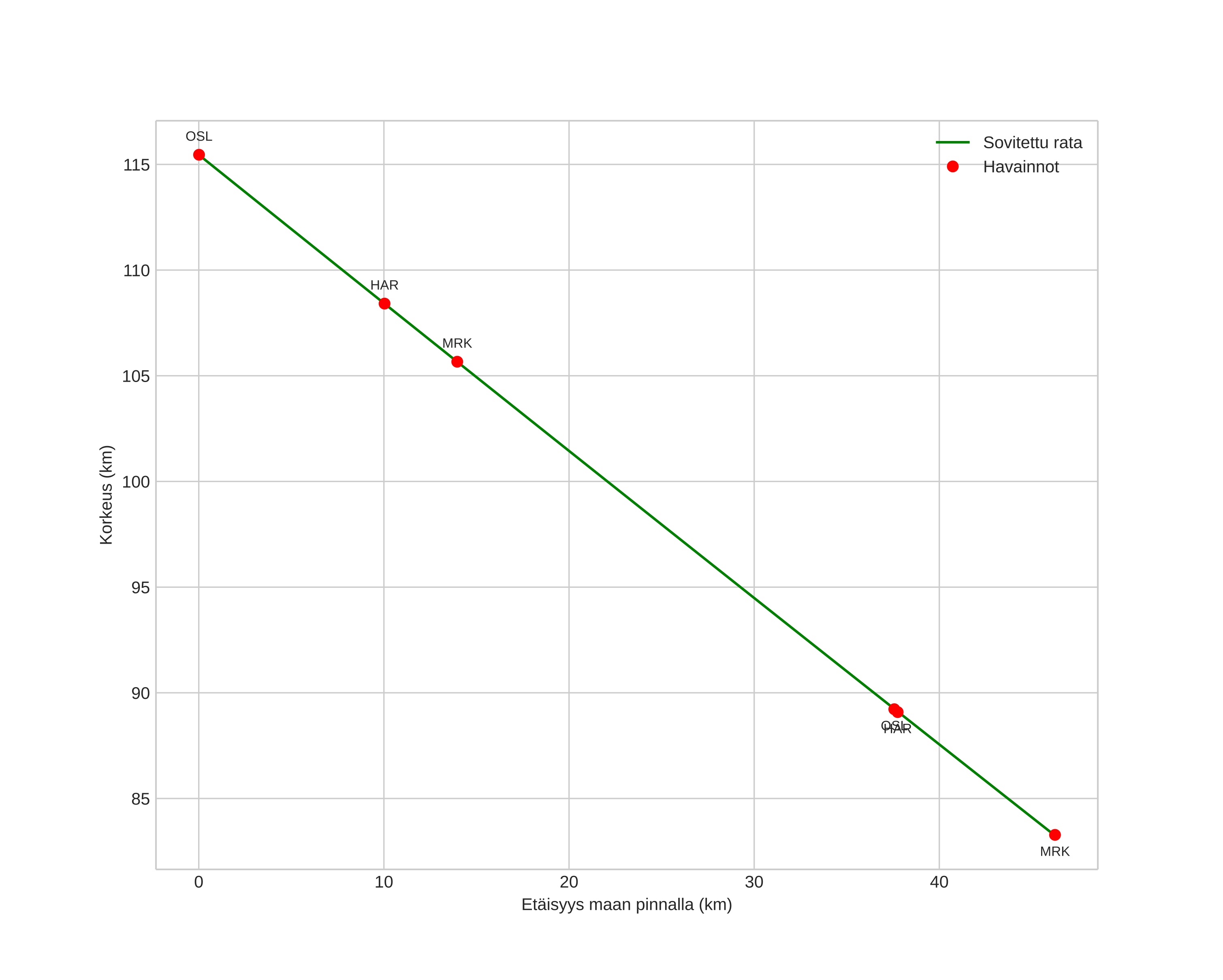
height profile
Meteorin ilmakehärata:
Alkukorkeus: 115,5 km
Loppukorkeus: 83,3 km
Alkupiste: 60,365N 11,212E
Loppupiste: 60,067N 10,626E
Suunta: 224,6°
Kallistuskulma: 34,9°
Tulonopeus: 57,5 km/s
Radiantin R,A,: 02:19 (34,8°)
Radiantin Dekl,: 51,4°
Meteoriparvi: Perseidit
Meteoroidin rataelementit:
Perihelietäisyys: 0,932 AU
Eksentrisyys: 0,612
Inklinaatio: 115,9°
Nousevan solmun pituus: 129,3°
Perihelin argumentti: 141,6°
Keskianomalia: 7,7°
Epookki: 2018 AUG 01 21:26:30
orbit plot

Ei-interaktiivinen kuvaaja | Interaktiivinen kuvaaja

position vs time
speed and acceleration

Harestua (HAR) cam2


gnomonic
Videot:
• Gnomoninen
• Gnomoninen koordinaateilla
• Alkuperäinen
• Alkuperäinen koordinaateilla
Kuvat:
• Gnomoninen
• Gnomoninen koordinaateilla
• Gnomoninen merkinnöillä
• Alkuperäinen
• Alkuperäinen koordinaateilla
• Alkuperäinen maskilla
Tekstitiedostot:
• Havaintoraportti
• Observaatio
• Koordinaatit
• Virheilmoitukset
• Loki
Kirkkaus

Voksenlia (OSL) cam3


gnomonic
Videot:
• Gnomoninen
• Gnomoninen koordinaateilla
• Alkuperäinen
• Alkuperäinen koordinaateilla
Kuvat:
• Gnomoninen
• Gnomoninen koordinaateilla
• Gnomoninen merkinnöillä
• Alkuperäinen
• Alkuperäinen koordinaateilla
• Alkuperäinen maskilla
Tekstitiedostot:
• Havaintoraportti
• Observaatio
• Koordinaatit
• Virheilmoitukset
• Loki
Kirkkaus