🇳🇴 🇬🇧 🇩🇪 🇨🇿 🇫🇮

Meteor, poloha: Ă…rsunda 2018-08-10 22:00:06 UTC

Soubor KML  |  InteraktivnĂ­ mapa

Mapa zobrazuje dráhy meteoru. Světlejší čáry ukazují směry od pozorovacích stanic při objevení se meteoru a tmavší čáry, kde byl naposledy viděn. Modrá šipka značí viditelnou dráhu meteoru.

static map
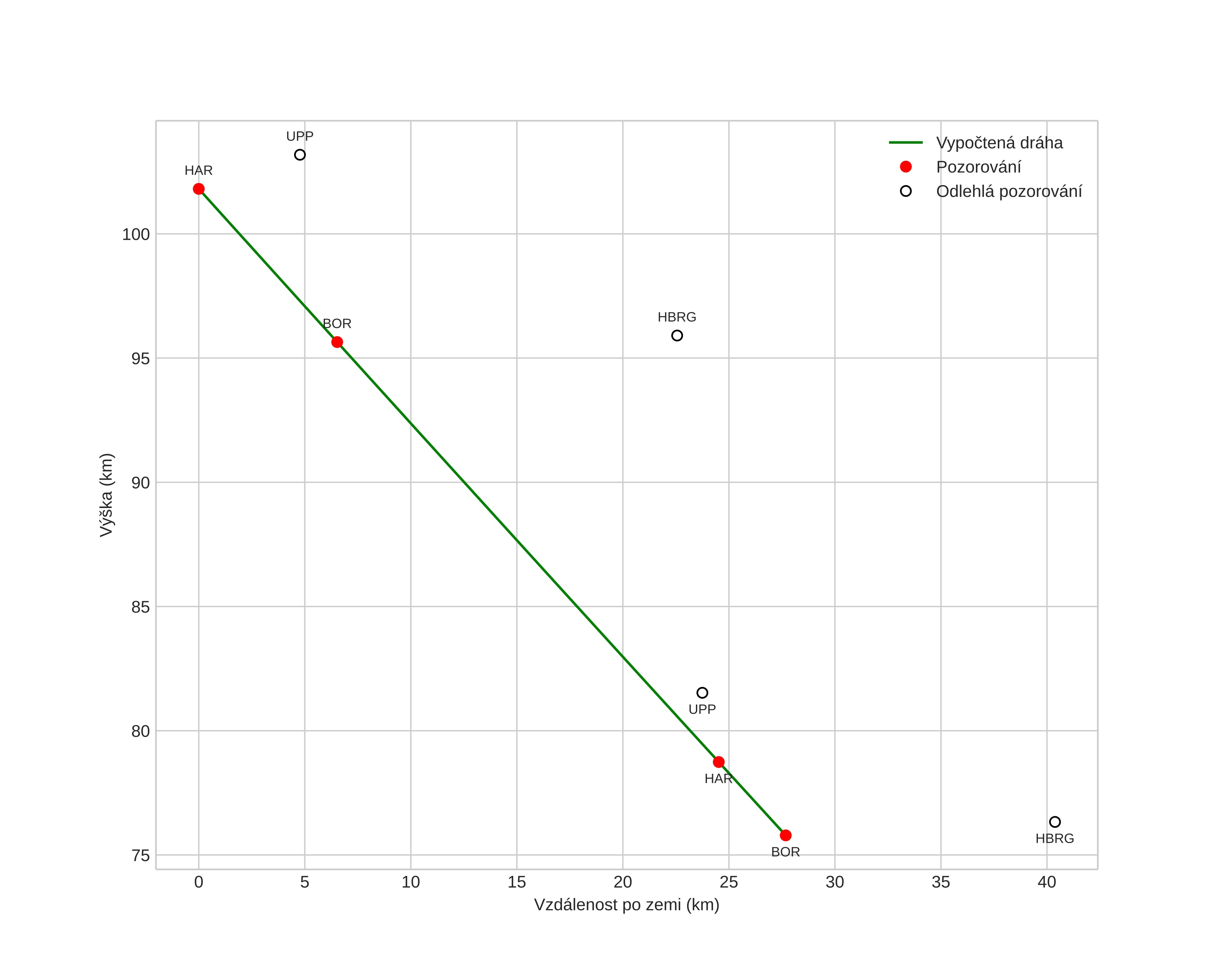
height profile
Atmosférická dráha meteoru:
Počáteční výška: 101,8 km
Konečná výška: 75,8 km
Počáteční poloha: 60,754N 17,033E
Konečná poloha: 60,576N 16,679E
Směr: 224,4°
Sklon: 43,2°
VstupnĂ­ rychlost: 57,5 km/s
Rektascenze radiantu: 03:18 (49,7°)
Deklinace radiantu: 58,2°
MeteorickĂ˝ roj: Perseidy
Elementy dráhy meteoroidu:
Vzdálenost v periheliu: 0,903 AU
Excentricita: 0,777
Sklon dráhy: 110,5°
Délka vzestupného uzlu: 138,0°
Argument perihelia: 138,5°
Střední anomálie: 3,5°
Epocha: 2018 AUG 10 22:00:06
orbit plot

NeinteraktivnĂ­ graf | InteraktivnĂ­ graf

position vs time
speed and acceleration