🇳🇴 🇬🇧 🇩🇪 🇨🇿 🇫🇮

Meteor Årsundan yllä 2018-08-10 22:00:06 UTC

KML-tiedosto  |  Interaktiivinen kartta

Kartta näyttää meteorin suuntahavainnot. Vaaleammat viivat näyttävät suunnat havaintoasemilta meteorin ilmestyessä, ja tummemmat viivat näyttävät, missä se viimeksi nähtiin. Sininen nuoli näyttää meteorin näkyvän lennon.

static map
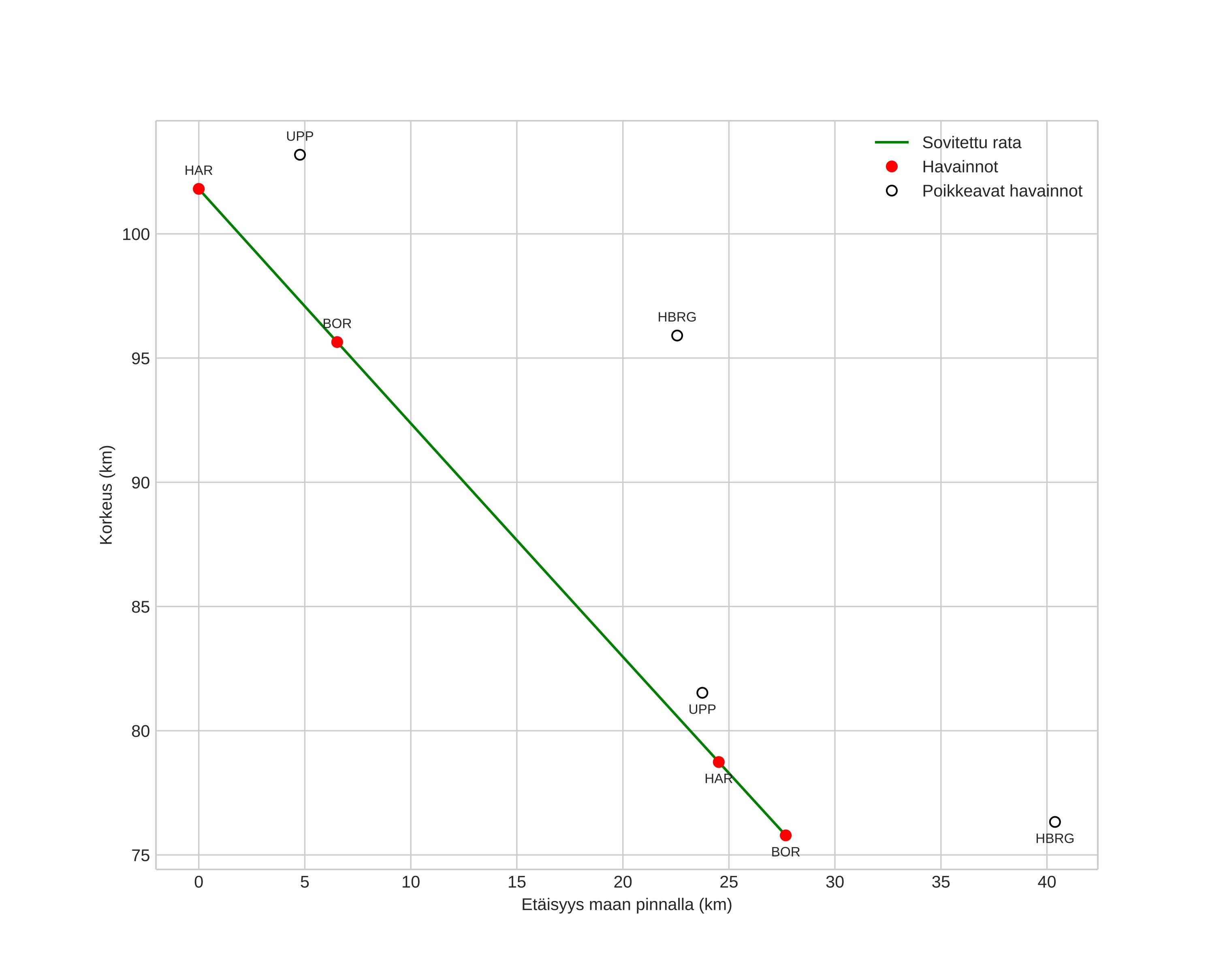
height profile
Meteorin ilmakehärata:
Alkukorkeus: 101,8 km
Loppukorkeus: 75,8 km
Alkupiste: 60,754N 17,033E
Loppupiste: 60,576N 16,679E
Suunta: 224,4°
Kallistuskulma: 43,2°
Tulonopeus: 57,5 km/s
Radiantin R,A,: 03:18 (49,7°)
Radiantin Dekl,: 58,2°
Meteoriparvi: Perseidit
Meteoroidin rataelementit:
Perihelietäisyys: 0,903 AU
Eksentrisyys: 0,777
Inklinaatio: 110,5°
Nousevan solmun pituus: 138,0°
Perihelin argumentti: 138,5°
Keskianomalia: 3,5°
Epookki: 2018 AUG 10 22:00:06
orbit plot

Ei-interaktiivinen kuvaaja | Interaktiivinen kuvaaja

position vs time
speed and acceleration