🇳🇴 🇬🇧 🇩🇪 🇨🇿 🇫🇮

Meteor, poloha: Malung 2018-08-12 23:15:48 UTC

Soubor KML  |  InteraktivnĂ­ mapa

Mapa zobrazuje dráhy meteoru. Světlejší čáry ukazují směry od pozorovacích stanic při objevení se meteoru a tmavší čáry, kde byl naposledy viděn. Modrá šipka značí viditelnou dráhu meteoru.

static map
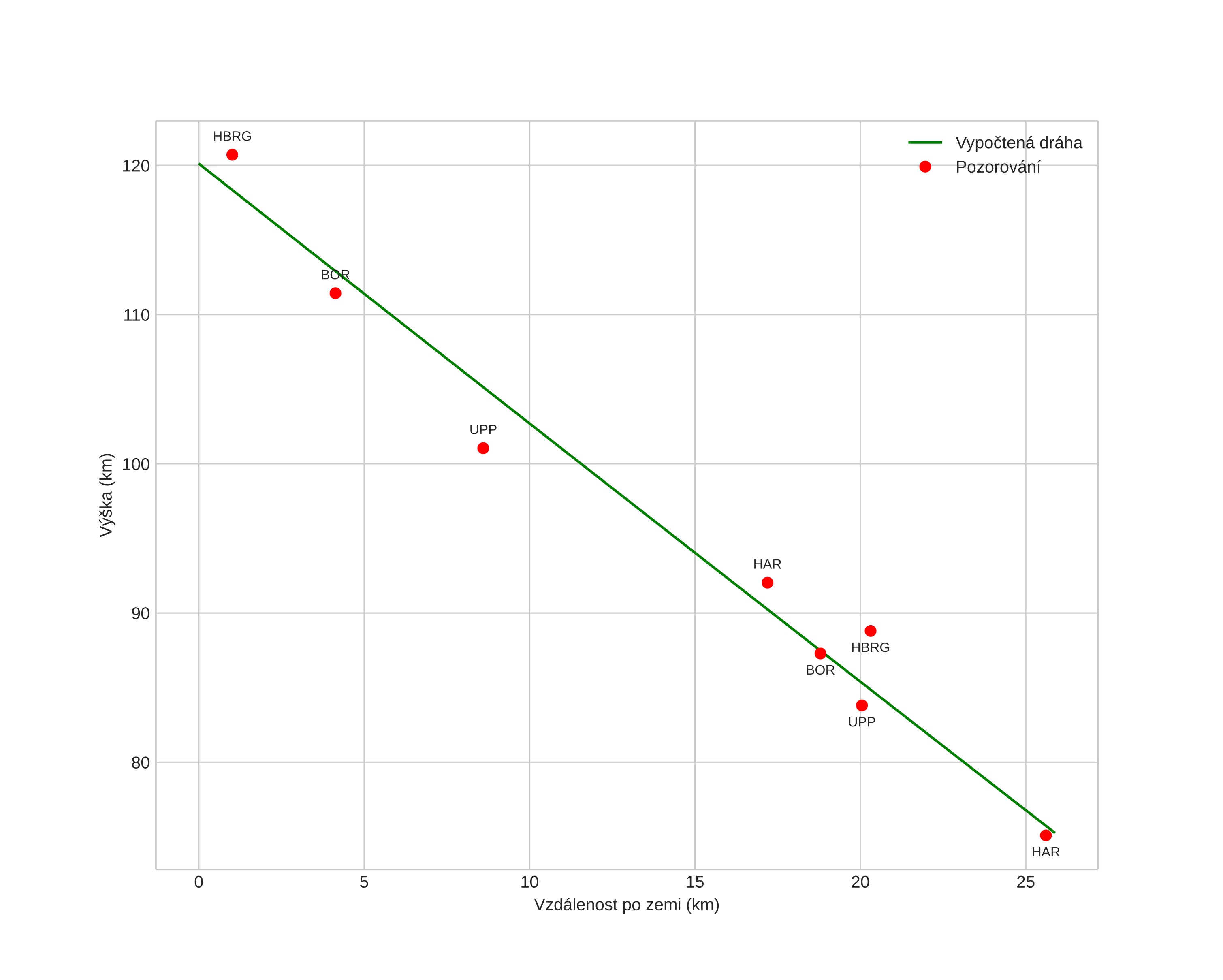
height profile
Atmosférická dráha meteoru:
Počáteční výška: 120,1 km
Konečná výška: 75,3 km
Počáteční poloha: 61,180N 13,772E
Konečná poloha: 60,997N 13,474E
Směr: 218,4°
Sklon: 60,0°
VstupnĂ­ rychlost: 34,3 km/s
Rektascenze radiantu: 02:48 (42,0°)
Deklinace radiantu: 71,3°
MeteorickĂ˝ roj: sporadickĂ˝
Elementy dráhy meteoroidu:
Vzdálenost v periheliu: 0,703 AU
Excentricita: 0,231
Sklon dráhy: 68,0°
Délka vzestupného uzlu: 139,9°
Argument perihelia: 51,0°
Střední anomálie: 106,0°
Epocha: 2018 AUG 12 23:15:48
orbit plot

NeinteraktivnĂ­ graf | InteraktivnĂ­ graf

position vs time
speed and acceleration