🇳🇴 🇬🇧 🇩🇪 🇨🇿 🇫🇮

Meteor Malungin yllä 2018-08-12 23:15:48 UTC

KML-tiedosto  |  Interaktiivinen kartta

Kartta näyttää meteorin suuntahavainnot. Vaaleammat viivat näyttävät suunnat havaintoasemilta meteorin ilmestyessä, ja tummemmat viivat näyttävät, missä se viimeksi nähtiin. Sininen nuoli näyttää meteorin näkyvän lennon.

static map
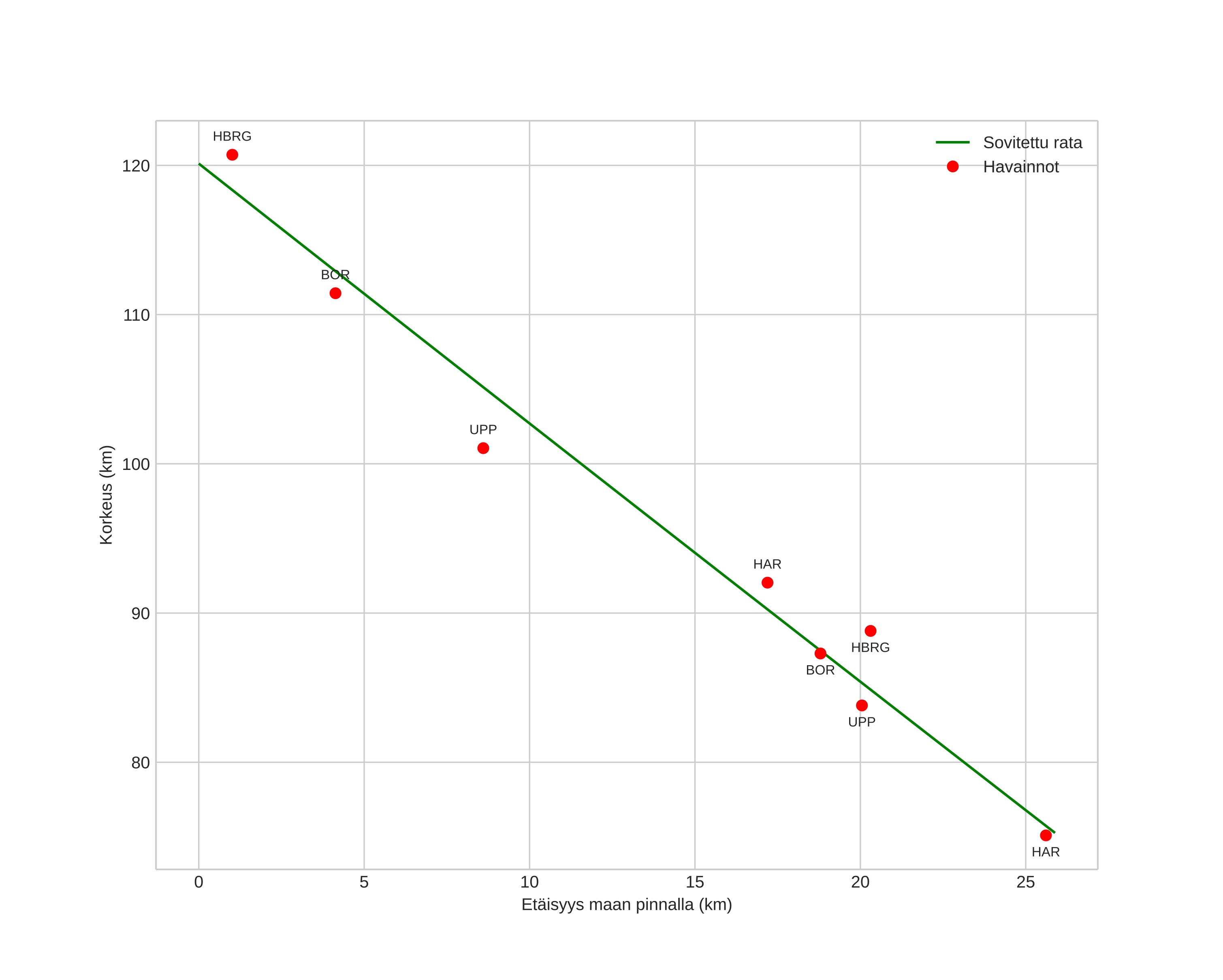
height profile
Meteorin ilmakehärata:
Alkukorkeus: 120,1 km
Loppukorkeus: 75,3 km
Alkupiste: 61,180N 13,772E
Loppupiste: 60,997N 13,474E
Suunta: 218,4°
Kallistuskulma: 60,0°
Tulonopeus: 34,3 km/s
Radiantin R,A,: 02:48 (42,0°)
Radiantin Dekl,: 71,3°
Meteoriparvi: Sporadinen
Meteoroidin rataelementit:
Perihelietäisyys: 0,703 AU
Eksentrisyys: 0,231
Inklinaatio: 68,0°
Nousevan solmun pituus: 139,9°
Perihelin argumentti: 51,0°
Keskianomalia: 106,0°
Epookki: 2018 AUG 12 23:15:48
orbit plot

Ei-interaktiivinen kuvaaja | Interaktiivinen kuvaaja

position vs time
speed and acceleration