🇳🇴 🇬🇧 🇩🇪 🇨🇿 🇫🇮

Meteor, poloha: Siljan 2018-08-12 23:30:13 UTC

Soubor KML  |  InteraktivnĂ­ mapa

Mapa zobrazuje dráhy meteoru. Světlejší čáry ukazují směry od pozorovacích stanic při objevení se meteoru a tmavší čáry, kde byl naposledy viděn. Modrá šipka značí viditelnou dráhu meteoru.

static map
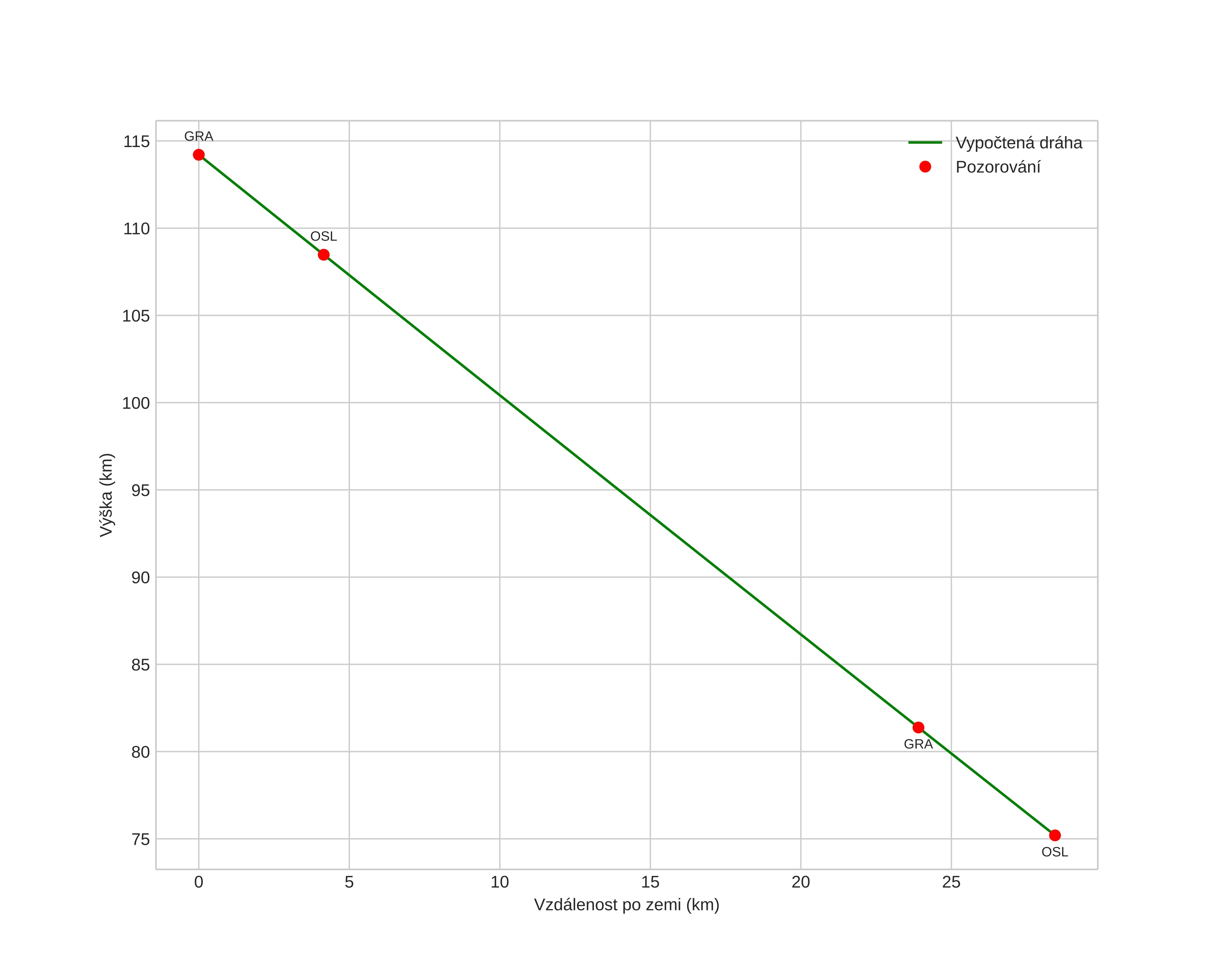
height profile
Atmosférická dráha meteoru:
Počáteční výška: 114,2 km
Konečná výška: 75,2 km
Počáteční poloha: 59,371N 10,213E
Konečná poloha: 59,232N 9,792E
Směr: 237,3°
Sklon: 53,9°
VstupnĂ­ rychlost: 56,7 km/s
Rektascenze radiantu: 02:33 (38,5°)
Deklinace radiantu: 58,9°
MeteorickĂ˝ roj: Perseidy
Elementy dráhy meteoroidu:
Vzdálenost v periheliu: 0,992 AU
Excentricita: 0,726
Sklon dráhy: 108,2°
Délka vzestupného uzlu: 139,9°
Argument perihelia: 161,6°
Střední anomálie: 2,0°
Epocha: 2018 AUG 12 23:30:13
orbit plot

NeinteraktivnĂ­ graf | InteraktivnĂ­ graf

position vs time
speed and acceleration