🇳🇴 🇬🇧 🇩🇪 🇨🇿 🇫🇮

Meteor Siljanin yllä 2018-08-12 23:30:13 UTC

KML-tiedosto  |  Interaktiivinen kartta

Kartta näyttää meteorin suuntahavainnot. Vaaleammat viivat näyttävät suunnat havaintoasemilta meteorin ilmestyessä, ja tummemmat viivat näyttävät, missä se viimeksi nähtiin. Sininen nuoli näyttää meteorin näkyvän lennon.

static map
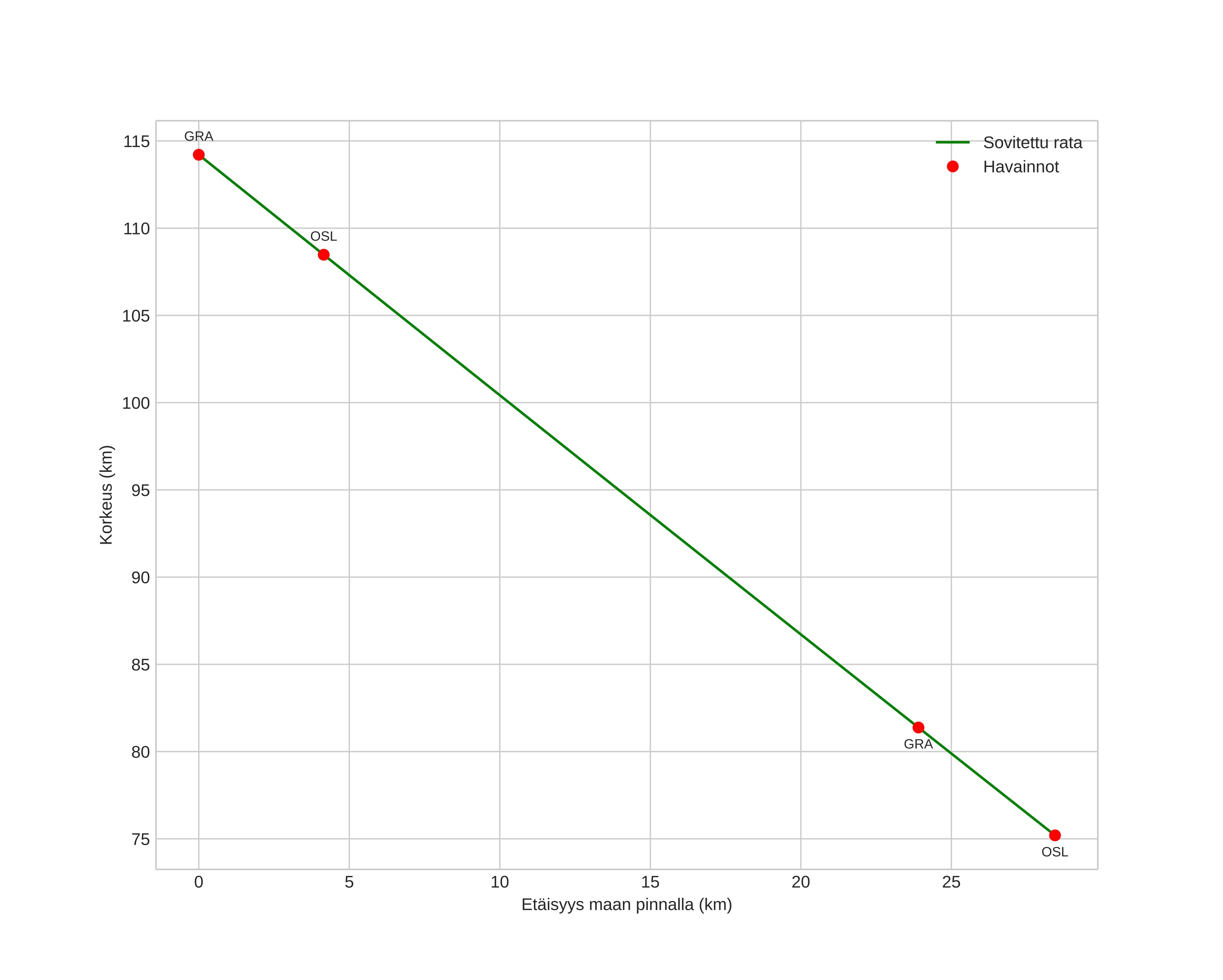
height profile
Meteorin ilmakehärata:
Alkukorkeus: 114,2 km
Loppukorkeus: 75,2 km
Alkupiste: 59,371N 10,213E
Loppupiste: 59,232N 9,792E
Suunta: 237,3°
Kallistuskulma: 53,9°
Tulonopeus: 56,7 km/s
Radiantin R,A,: 02:33 (38,5°)
Radiantin Dekl,: 58,9°
Meteoriparvi: Perseidit
Meteoroidin rataelementit:
Perihelietäisyys: 0,992 AU
Eksentrisyys: 0,726
Inklinaatio: 108,2°
Nousevan solmun pituus: 139,9°
Perihelin argumentti: 161,6°
Keskianomalia: 2,0°
Epookki: 2018 AUG 12 23:30:13
orbit plot

Ei-interaktiivinen kuvaaja | Interaktiivinen kuvaaja

position vs time
speed and acceleration