🇳🇴 🇬🇧 🇩🇪 🇨🇿 🇫🇮

Meteor, poloha: Ulefoss 2018-08-13 01:20:31 UTC

Soubor KML  |  InteraktivnĂ­ mapa

Mapa zobrazuje dráhy meteoru. Světlejší čáry ukazují směry od pozorovacích stanic při objevení se meteoru a tmavší čáry, kde byl naposledy viděn. Modrá šipka značí viditelnou dráhu meteoru.

static map
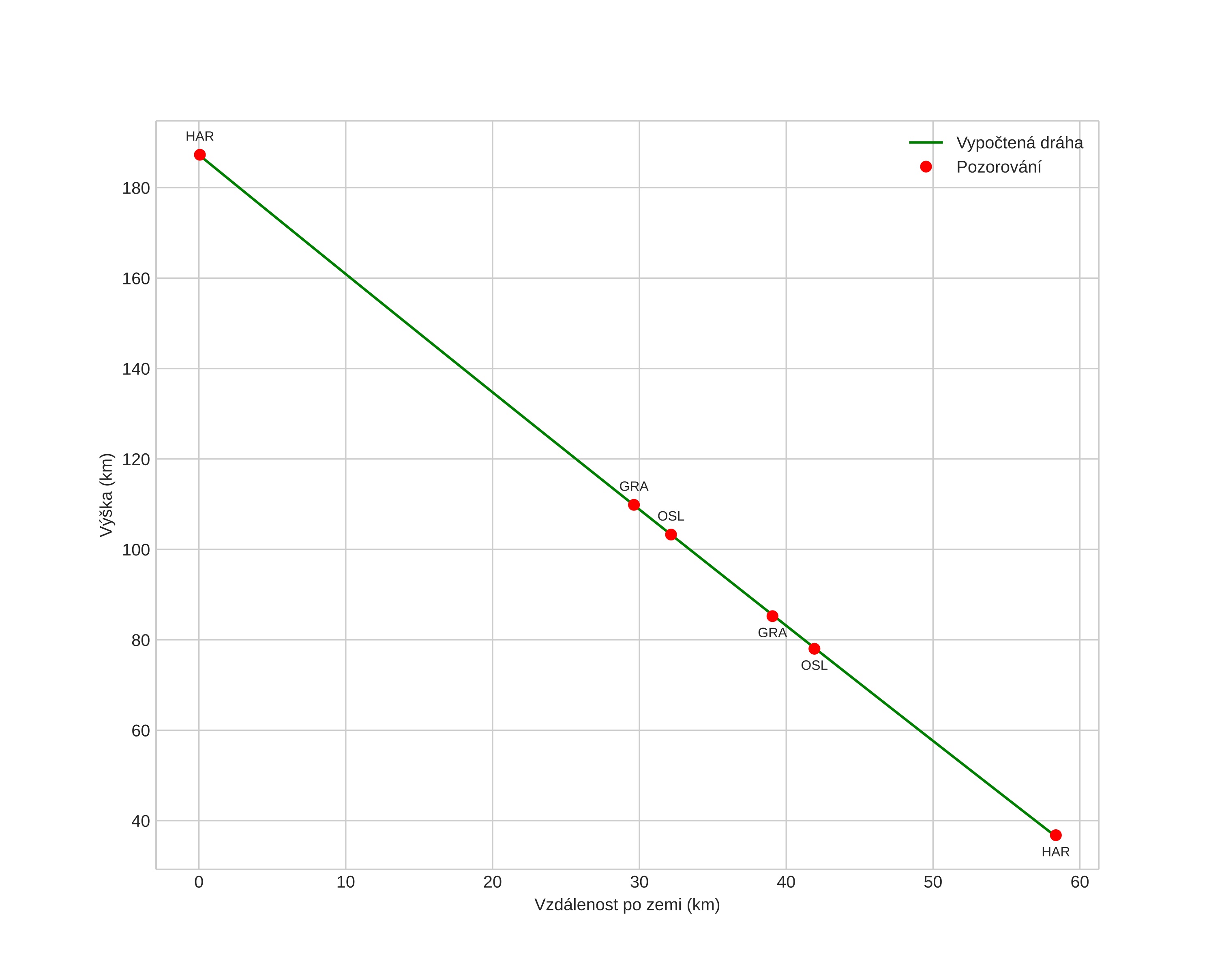
height profile
Atmosférická dráha meteoru:
Počáteční výška: 187,3 km
Konečná výška: 36,7 km
Počáteční poloha: 59,293N 10,198E
Konečná poloha: 59,158N 9,208E
Směr: 255,6°
Sklon: 68,9°
VstupnĂ­ rychlost: 63,8 km/s
Rektascenze radiantu: 02:09 (32,4°)
Deklinace radiantu: 57,8°
MeteorickĂ˝ roj: Perseidy
Elementy dráhy meteoroidu:
Vzdálenost v periheliu: 1,011 AU
Excentricita: 1,336
Sklon dráhy: 112,8°
Délka vzestupného uzlu: 140,0°
Argument perihelia: 175,1°
Střední anomálie: 0,6°
Epocha: 2018 AUG 13 01:20:31
orbit plot

NeinteraktivnĂ­ graf | InteraktivnĂ­ graf

position vs time
speed and acceleration