🇳🇴 🇬🇧 🇩🇪 🇨🇿 🇫🇮

Meteor Ulefossin yllä 2018-08-13 01:20:31 UTC

KML-tiedosto  |  Interaktiivinen kartta

Kartta näyttää meteorin suuntahavainnot. Vaaleammat viivat näyttävät suunnat havaintoasemilta meteorin ilmestyessä, ja tummemmat viivat näyttävät, missä se viimeksi nähtiin. Sininen nuoli näyttää meteorin näkyvän lennon.

static map
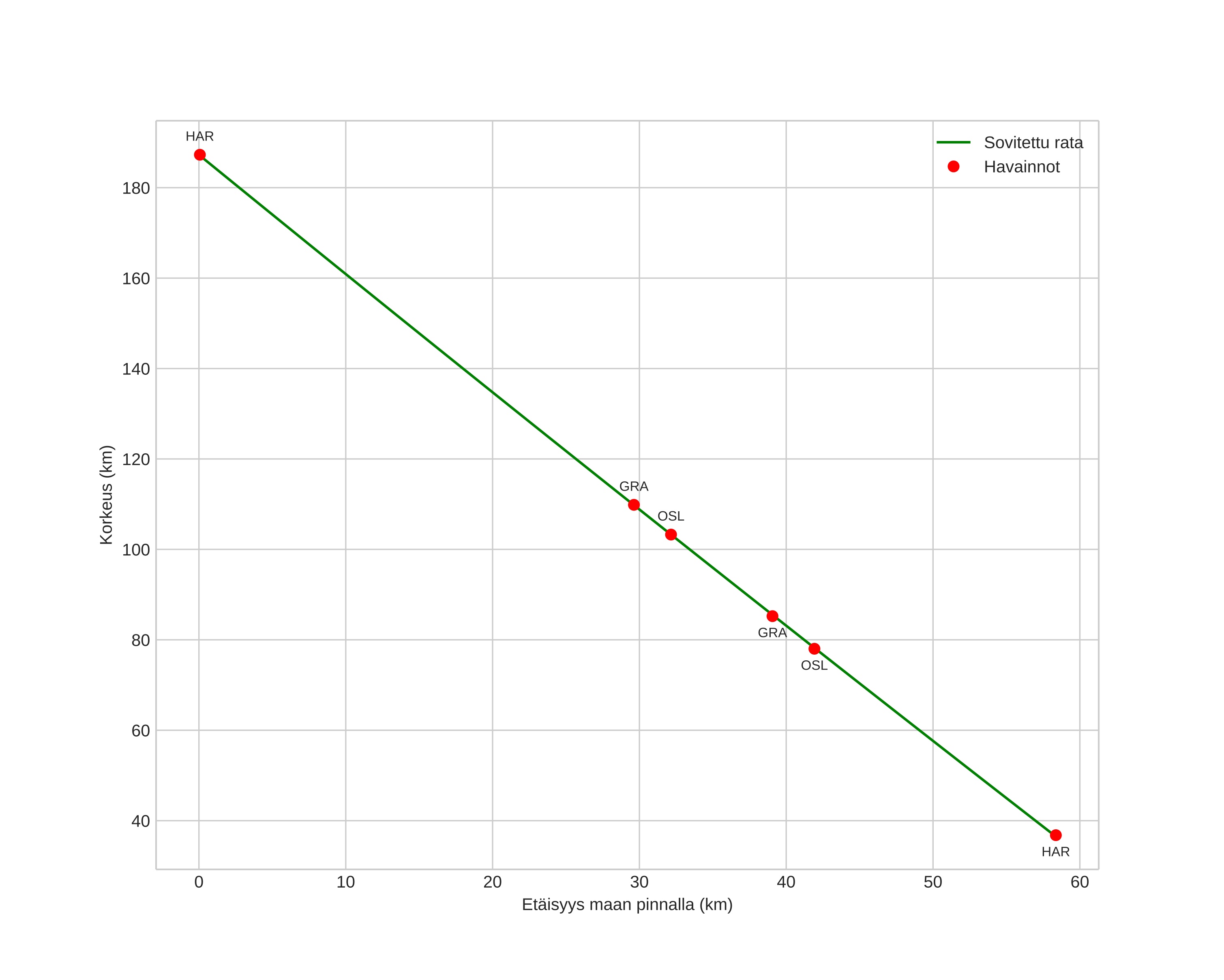
height profile
Meteorin ilmakehärata:
Alkukorkeus: 187,3 km
Loppukorkeus: 36,7 km
Alkupiste: 59,293N 10,198E
Loppupiste: 59,158N 9,208E
Suunta: 255,6°
Kallistuskulma: 68,9°
Tulonopeus: 63,8 km/s
Radiantin R,A,: 02:09 (32,4°)
Radiantin Dekl,: 57,8°
Meteoriparvi: Perseidit
Meteoroidin rataelementit:
Perihelietäisyys: 1,011 AU
Eksentrisyys: 1,336
Inklinaatio: 112,8°
Nousevan solmun pituus: 140,0°
Perihelin argumentti: 175,1°
Keskianomalia: 0,6°
Epookki: 2018 AUG 13 01:20:31
orbit plot

Ei-interaktiivinen kuvaaja | Interaktiivinen kuvaaja

position vs time
speed and acceleration