🇳🇴 🇬🇧 🇩🇪 🇨🇿 🇫🇮

Meteor, poloha: Lillehammer 2018-08-13 01:24:57 UTC

Soubor KML  |  InteraktivnĂ­ mapa

Mapa zobrazuje dráhy meteoru. Světlejší čáry ukazují směry od pozorovacích stanic při objevení se meteoru a tmavší čáry, kde byl naposledy viděn. Modrá šipka značí viditelnou dráhu meteoru.

static map
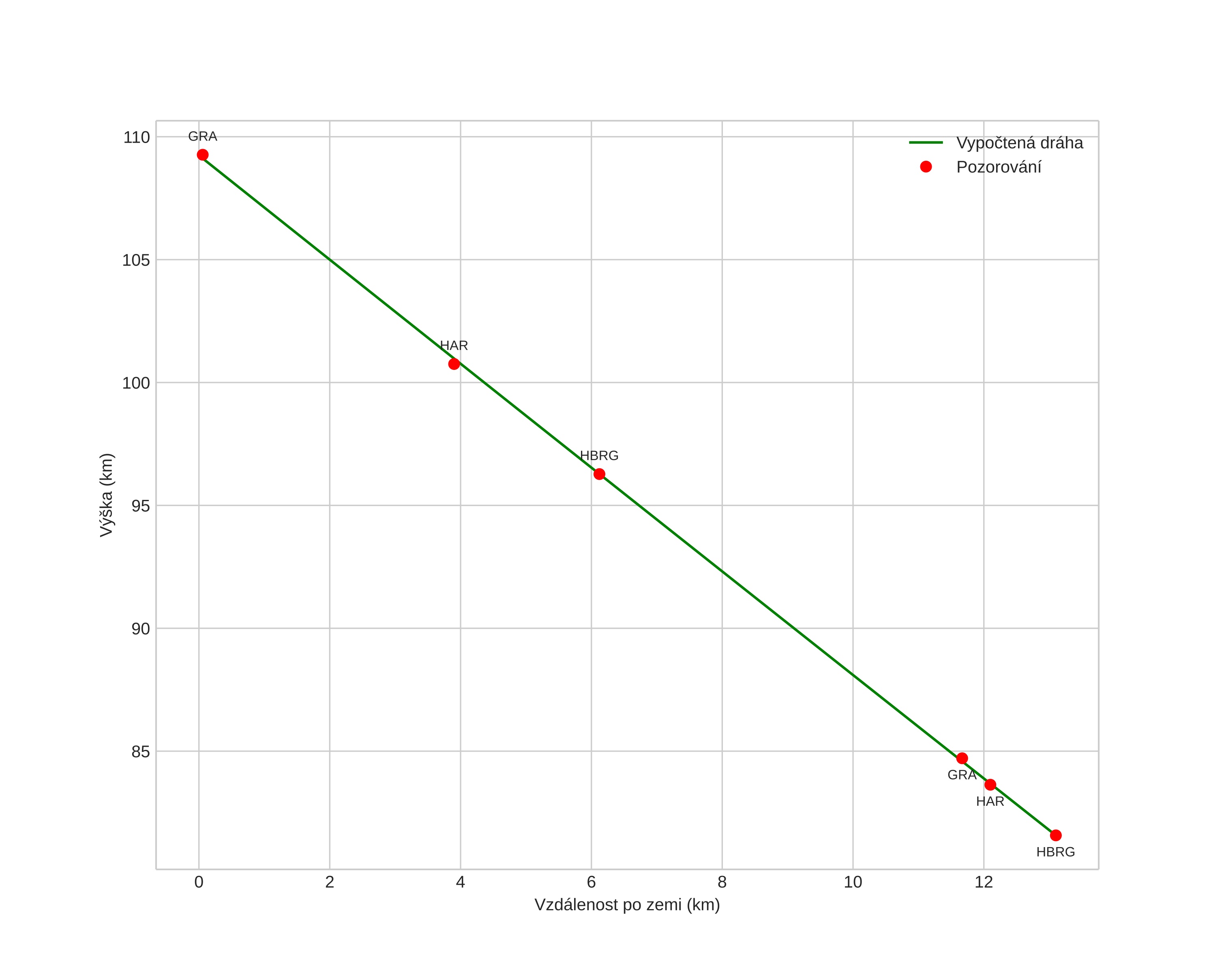
height profile
Atmosférická dráha meteoru:
Počáteční výška: 109,2 km
Konečná výška: 81,6 km
Počáteční poloha: 61,126N 10,625E
Konečná poloha: 61,091N 10,393E
Směr: 252,8°
Sklon: 64,6°
VstupnĂ­ rychlost: 65,2 km/s
Rektascenze radiantu: 02:57 (44,3°)
Deklinace radiantu: 58,3°
MeteorickĂ˝ roj: Perseidy
Elementy dráhy meteoroidu:
Vzdálenost v periheliu: 0,979 AU
Excentricita: 1,396
Sklon dráhy: 115,3°
Délka vzestupného uzlu: 140,0°
Argument perihelia: 160,5°
Střední anomálie: 3,2°
Epocha: 2018 AUG 13 01:24:57
orbit plot

NeinteraktivnĂ­ graf | InteraktivnĂ­ graf

position vs time
speed and acceleration