🇳🇴 🇬🇧 🇩🇪 🇨🇿 🇫🇮

Meteor Lillehammerin yllä 2018-08-13 01:24:57 UTC

KML-tiedosto  |  Interaktiivinen kartta

Kartta näyttää meteorin suuntahavainnot. Vaaleammat viivat näyttävät suunnat havaintoasemilta meteorin ilmestyessä, ja tummemmat viivat näyttävät, missä se viimeksi nähtiin. Sininen nuoli näyttää meteorin näkyvän lennon.

static map
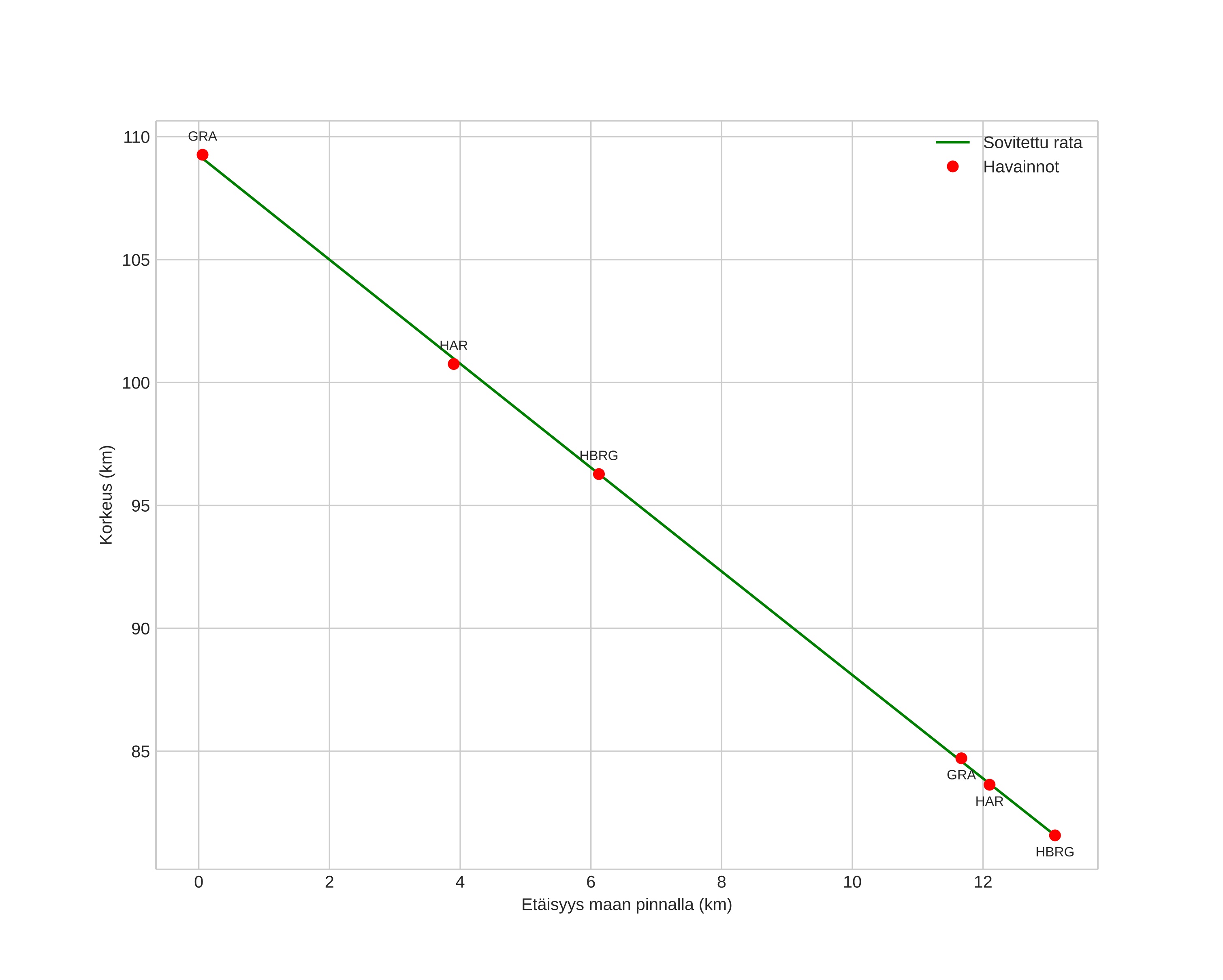
height profile
Meteorin ilmakehärata:
Alkukorkeus: 109,2 km
Loppukorkeus: 81,6 km
Alkupiste: 61,126N 10,625E
Loppupiste: 61,091N 10,393E
Suunta: 252,8°
Kallistuskulma: 64,6°
Tulonopeus: 65,2 km/s
Radiantin R,A,: 02:57 (44,3°)
Radiantin Dekl,: 58,3°
Meteoriparvi: Perseidit
Meteoroidin rataelementit:
Perihelietäisyys: 0,979 AU
Eksentrisyys: 1,396
Inklinaatio: 115,3°
Nousevan solmun pituus: 140,0°
Perihelin argumentti: 160,5°
Keskianomalia: 3,2°
Epookki: 2018 AUG 13 01:24:57
orbit plot

Ei-interaktiivinen kuvaaja | Interaktiivinen kuvaaja

position vs time
speed and acceleration