🇳🇴 🇬🇧 🇩🇪 🇨🇿 🇫🇮

Meteor, poloha: Brumunddal 2018-08-13 23:14:33 UTC

Soubor KML  |  InteraktivnĂ­ mapa

Mapa zobrazuje dráhy meteoru. Světlejší čáry ukazují směry od pozorovacích stanic při objevení se meteoru a tmavší čáry, kde byl naposledy viděn. Modrá šipka značí viditelnou dráhu meteoru.

static map
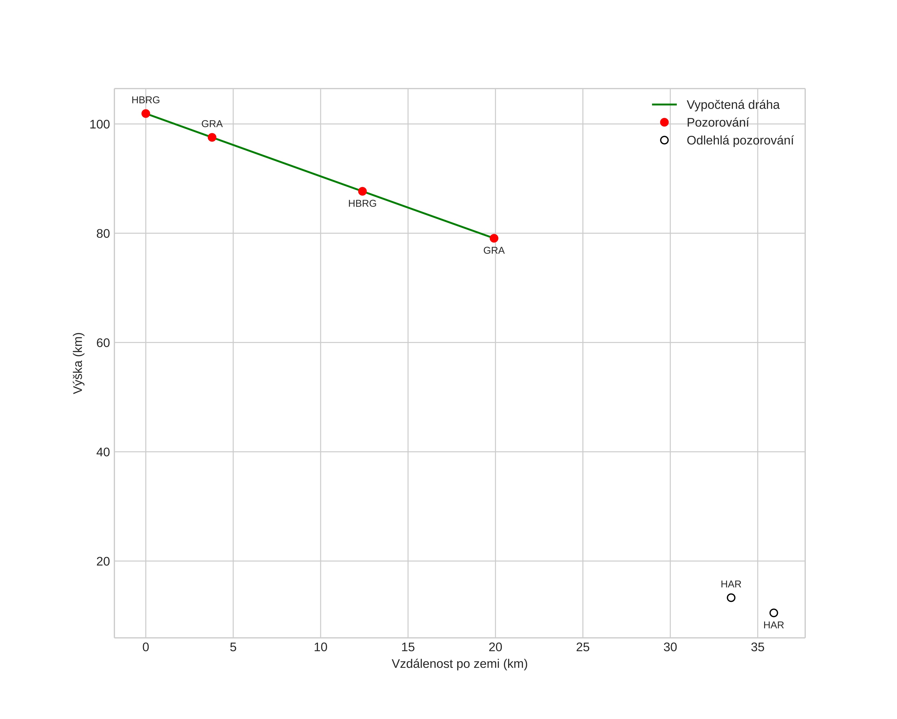
height profile
Atmosférická dráha meteoru:
Počáteční výška: 101,9 km
Konečná výška: 79,1 km
Počáteční poloha: 61,237N 11,319E
Konečná poloha: 61,149N 10,996E
Směr: 240,5°
Sklon: 48,9°
VstupnĂ­ rychlost: 48,3 km/s
Rektascenze radiantu: 02:58 (44,6°)
Deklinace radiantu: 54,4°
MeteorickĂ˝ roj: Perseidy
Elementy dráhy meteoroidu:
Vzdálenost v periheliu: 0,798 AU
Excentricita: 0,184
Sklon dráhy: 106,8°
Délka vzestupného uzlu: 140,9°
Argument perihelia: 68,4°
Střední anomálie: 91,0°
Epocha: 2018 AUG 13 23:14:33
orbit plot

NeinteraktivnĂ­ graf | InteraktivnĂ­ graf

position vs time
speed and acceleration