🇳🇴 🇬🇧 🇩🇪 🇨🇿 🇫🇮

Meteor Brumunddalin yllä 2018-08-13 23:14:33 UTC

KML-tiedosto  |  Interaktiivinen kartta

Kartta näyttää meteorin suuntahavainnot. Vaaleammat viivat näyttävät suunnat havaintoasemilta meteorin ilmestyessä, ja tummemmat viivat näyttävät, missä se viimeksi nähtiin. Sininen nuoli näyttää meteorin näkyvän lennon.

static map
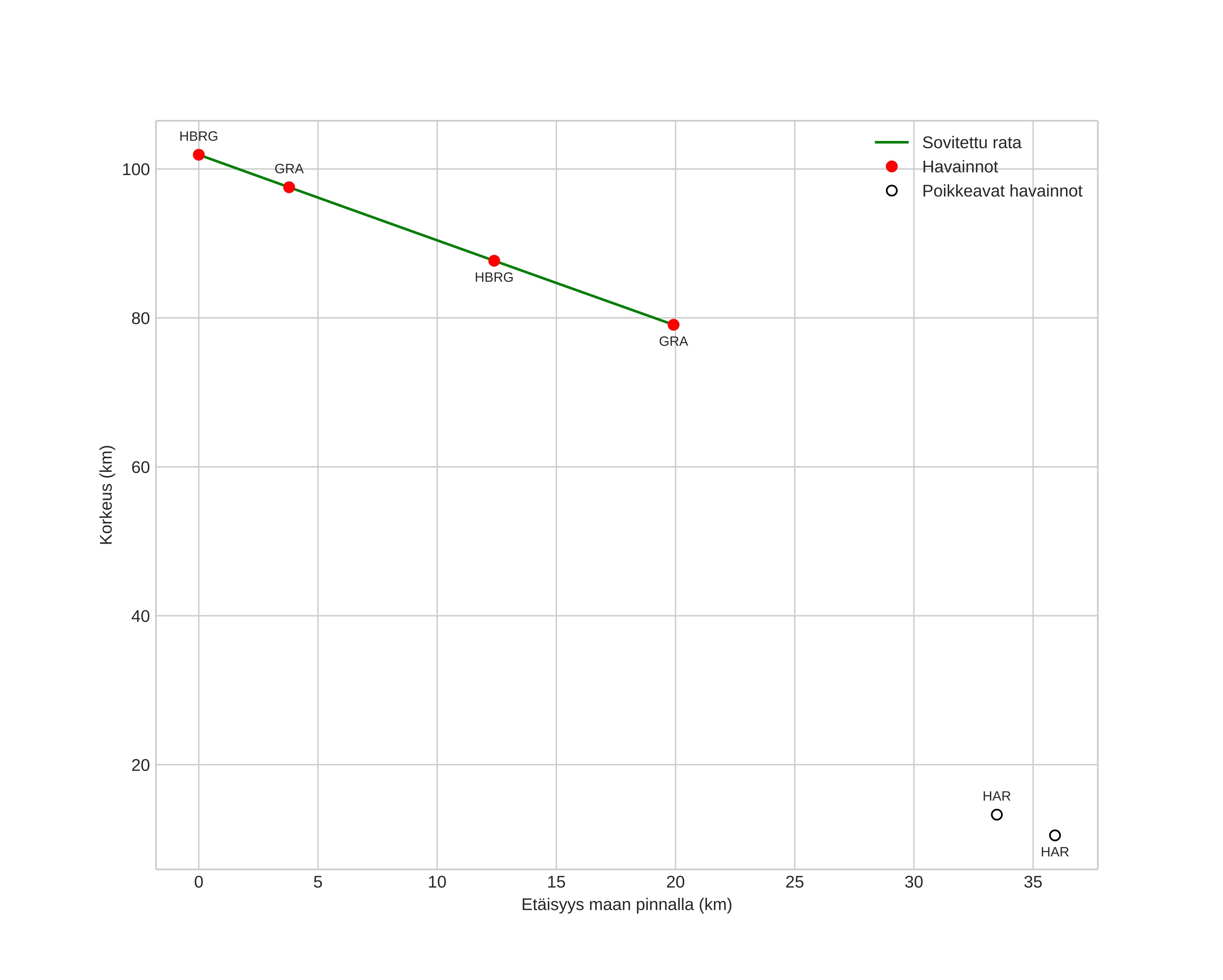
height profile
Meteorin ilmakehärata:
Alkukorkeus: 101,9 km
Loppukorkeus: 79,1 km
Alkupiste: 61,237N 11,319E
Loppupiste: 61,149N 10,996E
Suunta: 240,5°
Kallistuskulma: 48,9°
Tulonopeus: 48,3 km/s
Radiantin R,A,: 02:58 (44,6°)
Radiantin Dekl,: 54,4°
Meteoriparvi: Perseidit
Meteoroidin rataelementit:
Perihelietäisyys: 0,798 AU
Eksentrisyys: 0,184
Inklinaatio: 106,8°
Nousevan solmun pituus: 140,9°
Perihelin argumentti: 68,4°
Keskianomalia: 91,0°
Epookki: 2018 AUG 13 23:14:33
orbit plot

Ei-interaktiivinen kuvaaja | Interaktiivinen kuvaaja

position vs time
speed and acceleration