🇳🇴 🇬🇧 🇩🇪 🇨🇿 🇫🇮

Meteor, poloha: Rena 2018-08-13 23:25:35 UTC

Soubor KML  |  InteraktivnĂ­ mapa

Mapa zobrazuje dráhy meteoru. Světlejší čáry ukazují směry od pozorovacích stanic při objevení se meteoru a tmavší čáry, kde byl naposledy viděn. Modrá šipka značí viditelnou dráhu meteoru.

static map
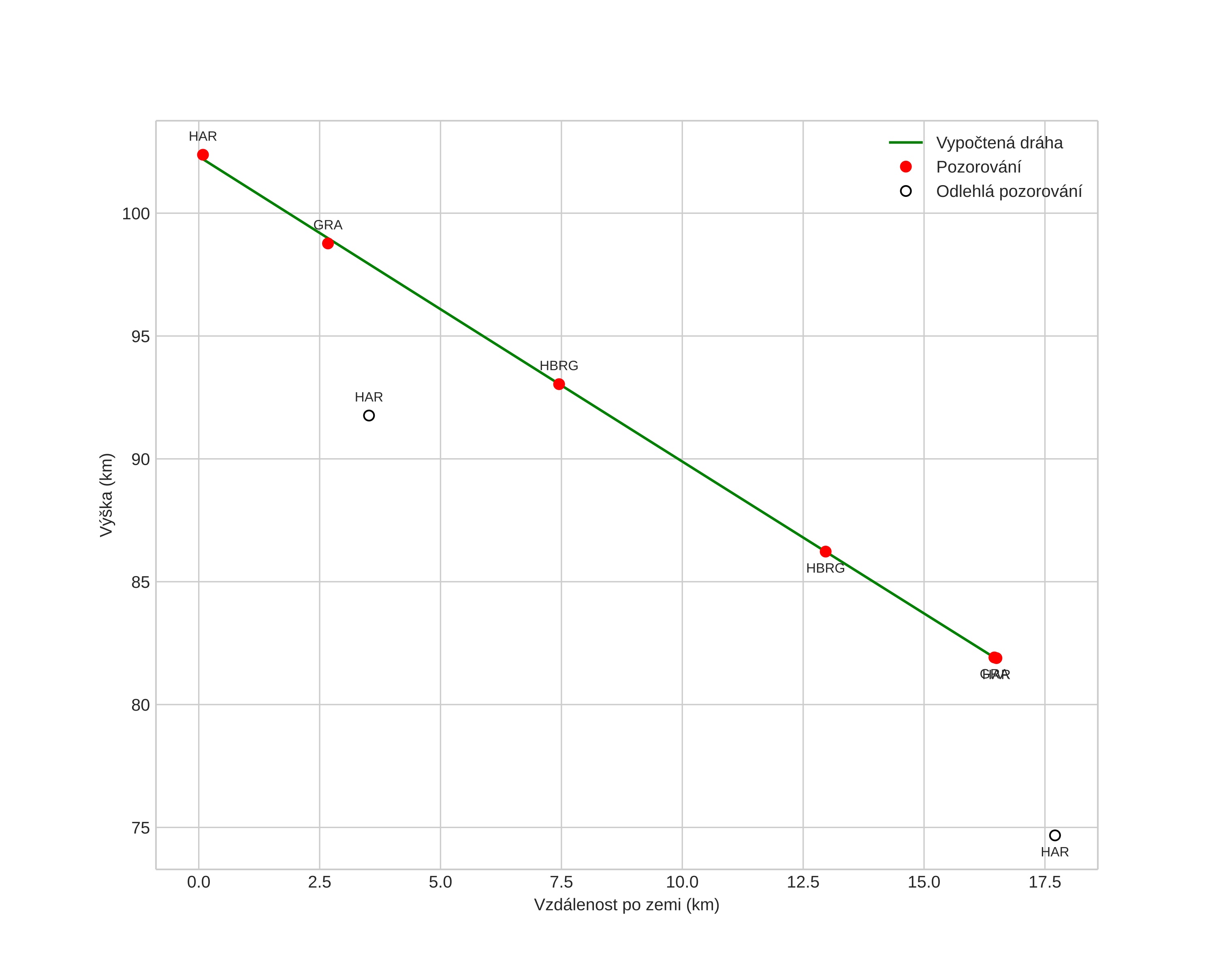
height profile
Atmosférická dráha meteoru:
Počáteční výška: 102,3 km
Konečná výška: 81,9 km
Počáteční poloha: 61,144N 11,485E
Konečná poloha: 61,068N 11,222E
Směr: 239,1°
Sklon: 51,1°
VstupnĂ­ rychlost: 51,6 km/s
Rektascenze radiantu: 03:01 (45,4°)
Deklinace radiantu: 56,6°
MeteorickĂ˝ roj: Perseidy
Elementy dráhy meteoroidu:
Vzdálenost v periheliu: 0,920 AU
Excentricita: 0,301
Sklon dráhy: 107,8°
Délka vzestupného uzlu: 140,9°
Argument perihelia: 127,1°
Střední anomálie: 28,9°
Epocha: 2018 AUG 13 23:25:35
orbit plot

NeinteraktivnĂ­ graf | InteraktivnĂ­ graf

position vs time
speed and acceleration