🇳🇴 🇬🇧 🇩🇪 🇨🇿 🇫🇮

Meteor Renan yllä 2018-08-13 23:25:35 UTC

KML-tiedosto  |  Interaktiivinen kartta

Kartta näyttää meteorin suuntahavainnot. Vaaleammat viivat näyttävät suunnat havaintoasemilta meteorin ilmestyessä, ja tummemmat viivat näyttävät, missä se viimeksi nähtiin. Sininen nuoli näyttää meteorin näkyvän lennon.

static map
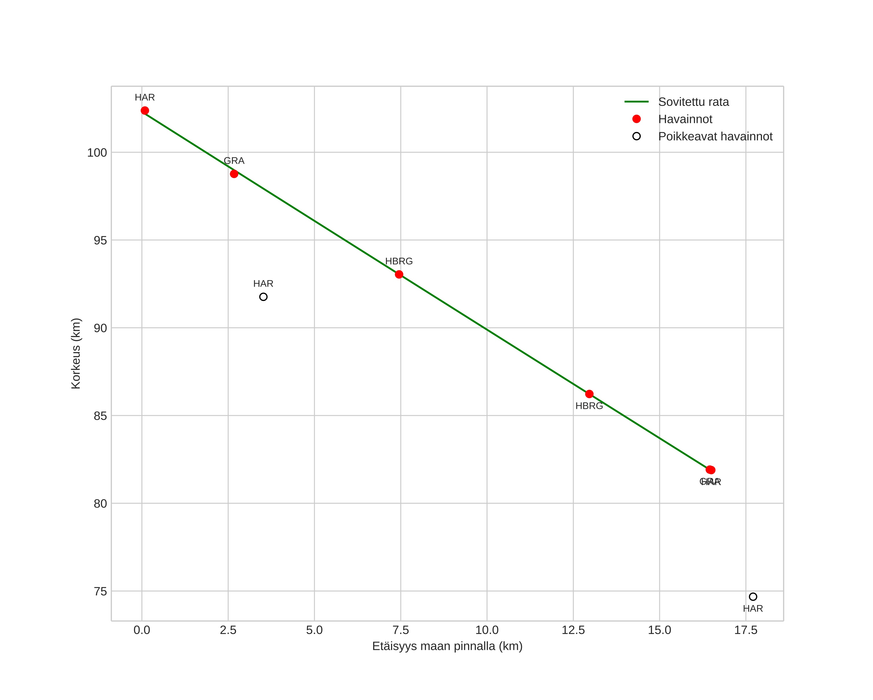
height profile
Meteorin ilmakehärata:
Alkukorkeus: 102,3 km
Loppukorkeus: 81,9 km
Alkupiste: 61,144N 11,485E
Loppupiste: 61,068N 11,222E
Suunta: 239,1°
Kallistuskulma: 51,1°
Tulonopeus: 51,6 km/s
Radiantin R,A,: 03:01 (45,4°)
Radiantin Dekl,: 56,6°
Meteoriparvi: Perseidit
Meteoroidin rataelementit:
Perihelietäisyys: 0,920 AU
Eksentrisyys: 0,301
Inklinaatio: 107,8°
Nousevan solmun pituus: 140,9°
Perihelin argumentti: 127,1°
Keskianomalia: 28,9°
Epookki: 2018 AUG 13 23:25:35
orbit plot

Ei-interaktiivinen kuvaaja | Interaktiivinen kuvaaja

position vs time
speed and acceleration