🇳🇴 🇬🇧 🇩🇪 🇨🇿 🇫🇮

Meteor, poloha: Ă…mĂĄl 2018-08-17 22:20:34 UTC

Soubor KML  |  InteraktivnĂ­ mapa

Mapa zobrazuje dráhy meteoru. Světlejší čáry ukazují směry od pozorovacích stanic při objevení se meteoru a tmavší čáry, kde byl naposledy viděn. Modrá šipka značí viditelnou dráhu meteoru.

static map
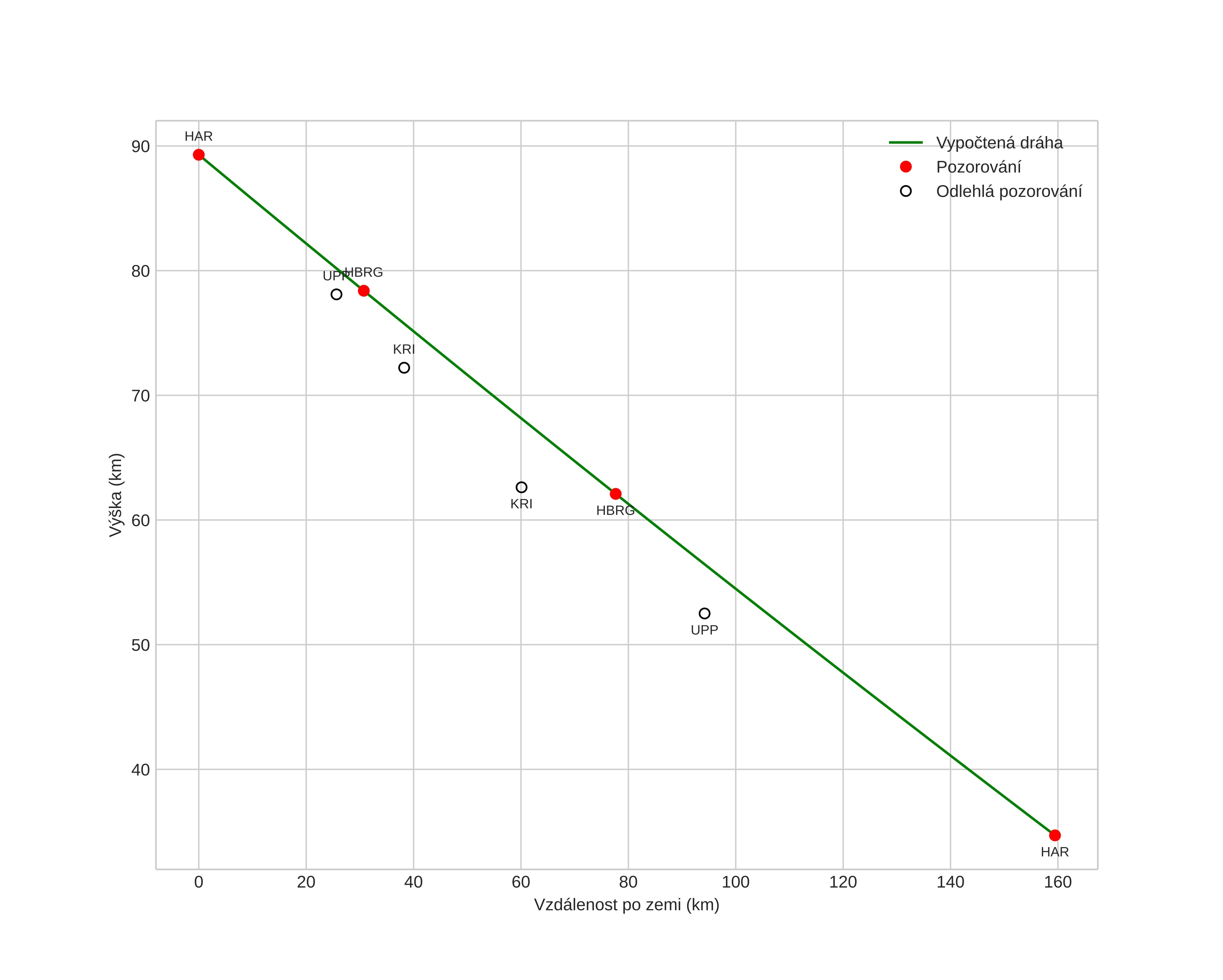
height profile
Atmosférická dráha meteoru:
Počáteční výška: 89,3 km
Konečná výška: 34,7 km
Počáteční poloha: 57,861N 13,738E
Konečná poloha: 59,154N 12,553E
Směr: 334,9°
Sklon: 18,9°
VstupnĂ­ rychlost: 34,8 km/s
Rektascenze radiantu: 22:35 (339,0°)
Deklinace radiantu: -12,8°
MeteorickĂ˝ roj: sporadickĂ˝
Elementy dráhy meteoroidu:
Vzdálenost v periheliu: 0,320 AU
Excentricita: 0,943
Sklon dráhy: 5,1°
Délka vzestupného uzlu: 324,7°
Argument perihelia: 114,2°
Střední anomálie: 357,1°
Epocha: 2018 AUG 17 22:20:34
orbit plot

NeinteraktivnĂ­ graf | InteraktivnĂ­ graf

position vs time
speed and acceleration