🇳🇴 🇬🇧 🇩🇪 🇨🇿 🇫🇮

Meteor Åmålin yllä 2018-08-17 22:20:34 UTC

KML-tiedosto  |  Interaktiivinen kartta

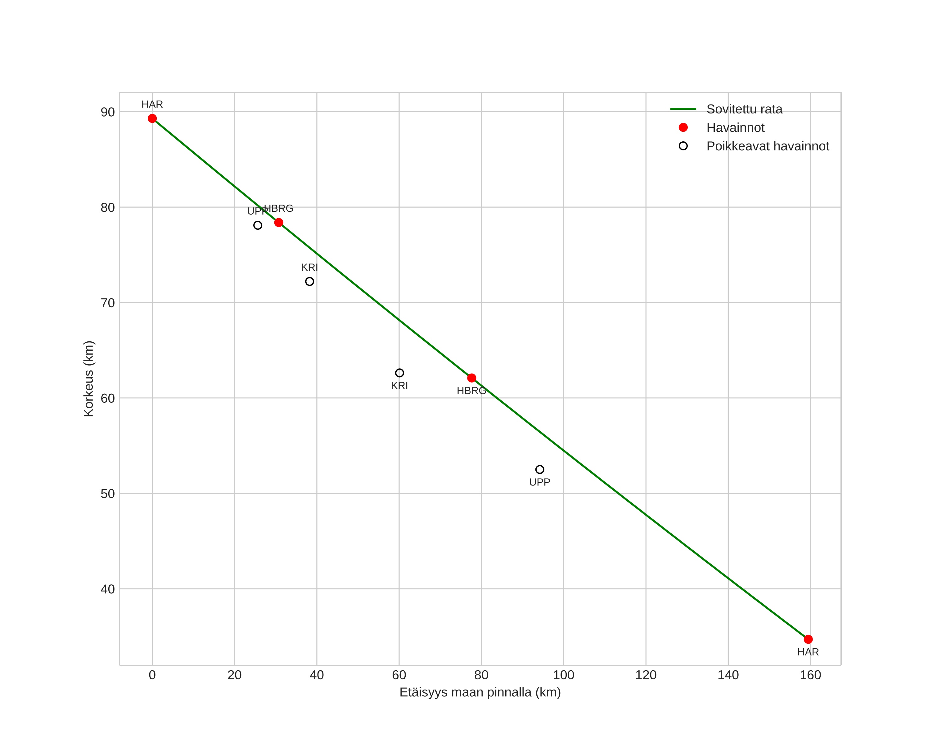
Kartta näyttää meteorin suuntahavainnot. Vaaleammat viivat näyttävät suunnat havaintoasemilta meteorin ilmestyessä, ja tummemmat viivat näyttävät, missä se viimeksi nähtiin. Sininen nuoli näyttää meteorin näkyvän lennon.

static map
height profile
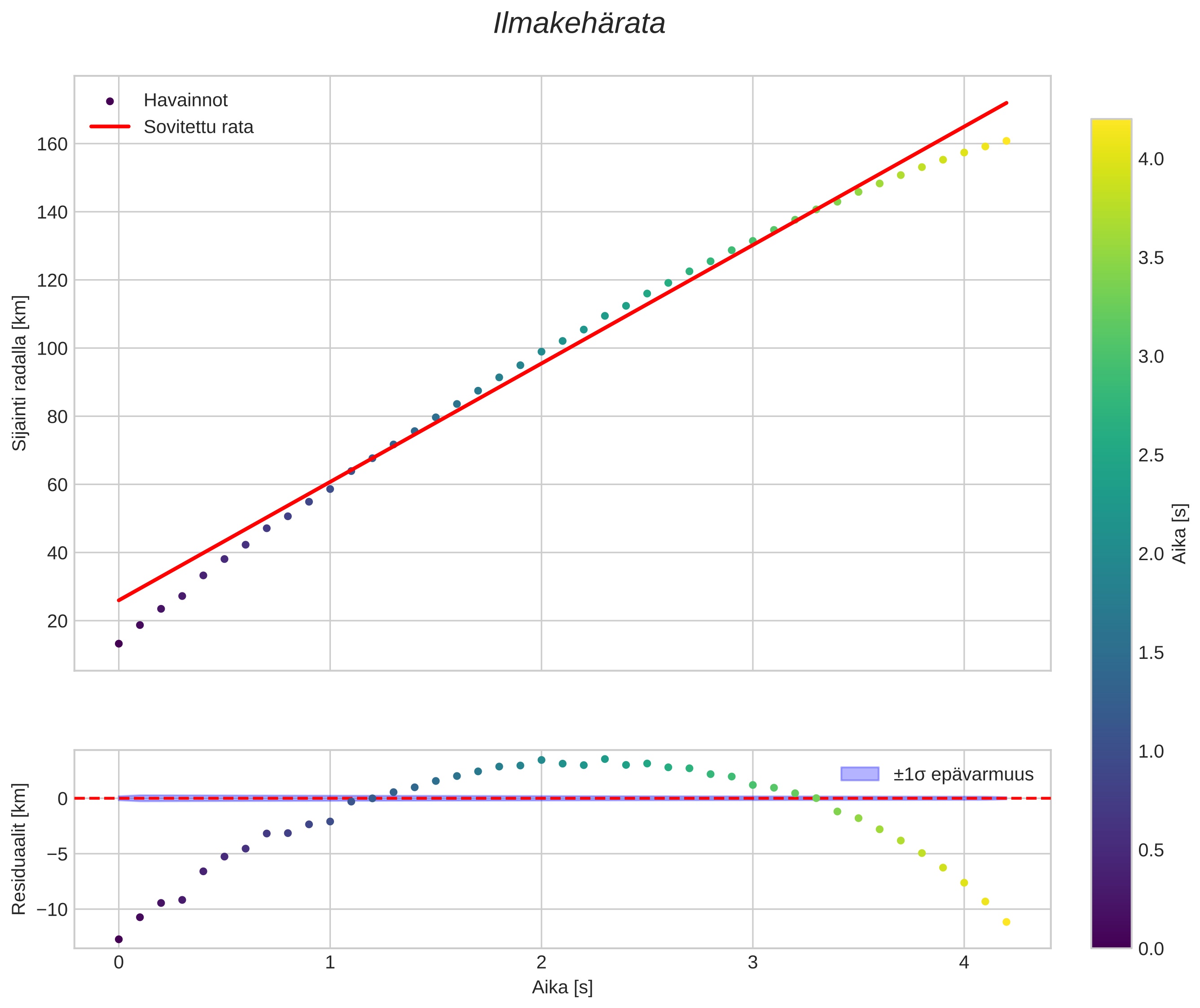
Meteorin ilmakehärata:
Alkukorkeus: 89,3 km
Loppukorkeus: 34,7 km
Alkupiste: 57,861N 13,738E
Loppupiste: 59,154N 12,553E
Suunta: 334,9°
Kallistuskulma: 18,9°
Tulonopeus: 34,8 km/s
Radiantin R,A,: 22:35 (339,0°)
Radiantin Dekl,: -12,8°
Meteoriparvi: Sporadinen
Meteoroidin rataelementit:
Perihelietäisyys: 0,320 AU
Eksentrisyys: 0,943
Inklinaatio: 5,1°
Nousevan solmun pituus: 324,7°
Perihelin argumentti: 114,2°
Keskianomalia: 357,1°
Epookki: 2018 AUG 17 22:20:34
orbit plot

Ei-interaktiivinen kuvaaja | Interaktiivinen kuvaaja

position vs time
speed and acceleration