🇳🇴 🇬🇧 🇩🇪 🇨🇿 🇫🇮

Meteor, poloha: Flisa 2018-08-20 01:06:20 UTC

Soubor KML  |  InteraktivnĂ­ mapa

Mapa zobrazuje dráhy meteoru. Světlejší čáry ukazují směry od pozorovacích stanic při objevení se meteoru a tmavší čáry, kde byl naposledy viděn. Modrá šipka značí viditelnou dráhu meteoru.

static map
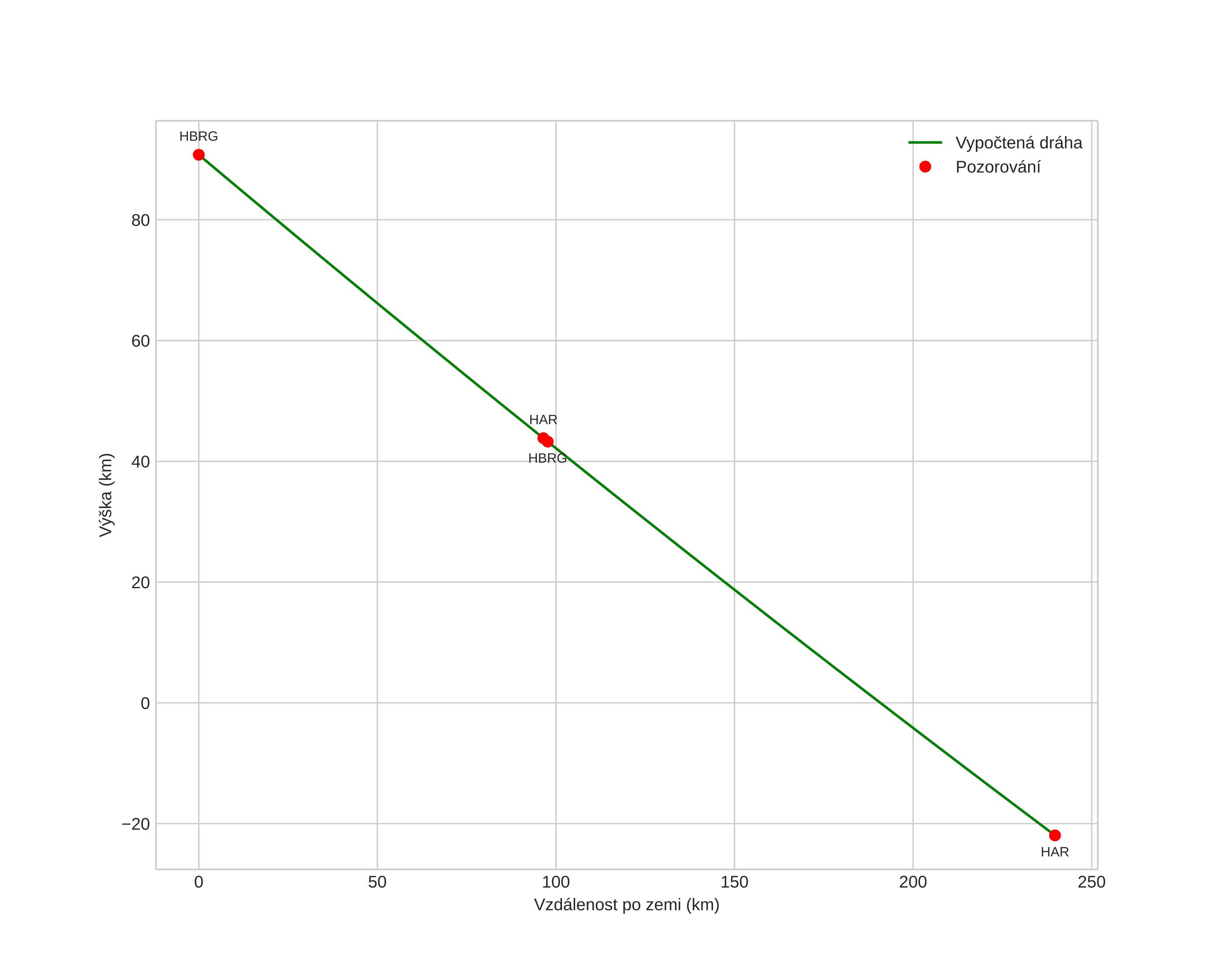
height profile
Atmosférická dráha meteoru:
Počáteční výška: 90,8 km
Konečná výška: -21,9 km
Počáteční poloha: 59,016N 9,575E
Konečná poloha: 60,755N 12,118E
Směr: 35,2°
Sklon: 25,2°
VstupnĂ­ rychlost: 838,6 km/s
Rektascenze radiantu: 21:31 (322,8°)
Deklinace radiantu: -1,0°
MeteorickĂ˝ roj: sporadickĂ˝
Elementy dráhy meteoroidu:
Vzdálenost v periheliu: 0,236 AU
Excentricita: 188,093
Sklon dráhy: 73,0°
Délka vzestupného uzlu: 146,7°
Argument perihelia: 256,8°
Střední anomálie: -44712,4°
Epocha: 2018 AUG 20 01:06:20
orbit plot

NeinteraktivnĂ­ graf | InteraktivnĂ­ graf

position vs time
speed and acceleration