🇳🇴 🇬🇧 🇩🇪 🇨🇿 🇫🇮

Meteor Flisan yllä 2018-08-20 01:06:20 UTC

KML-tiedosto  |  Interaktiivinen kartta

Kartta näyttää meteorin suuntahavainnot. Vaaleammat viivat näyttävät suunnat havaintoasemilta meteorin ilmestyessä, ja tummemmat viivat näyttävät, missä se viimeksi nähtiin. Sininen nuoli näyttää meteorin näkyvän lennon.

static map
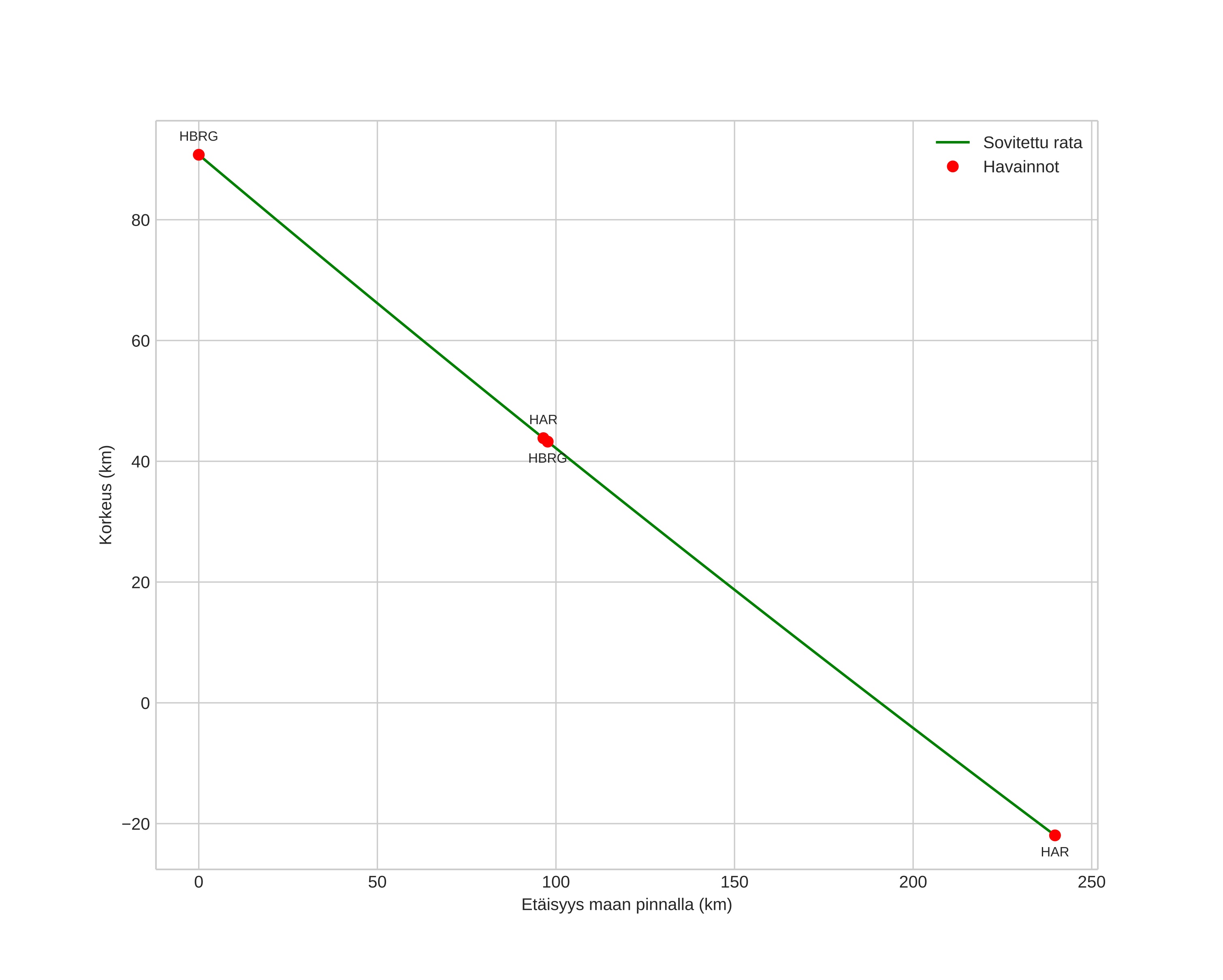
height profile
Meteorin ilmakehärata:
Alkukorkeus: 90,8 km
Loppukorkeus: -21,9 km
Alkupiste: 59,016N 9,575E
Loppupiste: 60,755N 12,118E
Suunta: 35,2°
Kallistuskulma: 25,2°
Tulonopeus: 838,6 km/s
Radiantin R,A,: 21:31 (322,8°)
Radiantin Dekl,: -1,0°
Meteoriparvi: Sporadinen
Meteoroidin rataelementit:
Perihelietäisyys: 0,236 AU
Eksentrisyys: 188,093
Inklinaatio: 73,0°
Nousevan solmun pituus: 146,7°
Perihelin argumentti: 256,8°
Keskianomalia: -44712,4°
Epookki: 2018 AUG 20 01:06:20
orbit plot

Ei-interaktiivinen kuvaaja | Interaktiivinen kuvaaja

position vs time
speed and acceleration