🇳🇴 🇬🇧 🇩🇪 🇨🇿 🇫🇮

Meteor, poloha: Larvik 2018-08-20 22:36:05 UTC

Soubor KML  |  InteraktivnĂ­ mapa

Mapa zobrazuje dráhy meteoru. Světlejší čáry ukazují směry od pozorovacích stanic při objevení se meteoru a tmavší čáry, kde byl naposledy viděn. Modrá šipka značí viditelnou dráhu meteoru.

static map
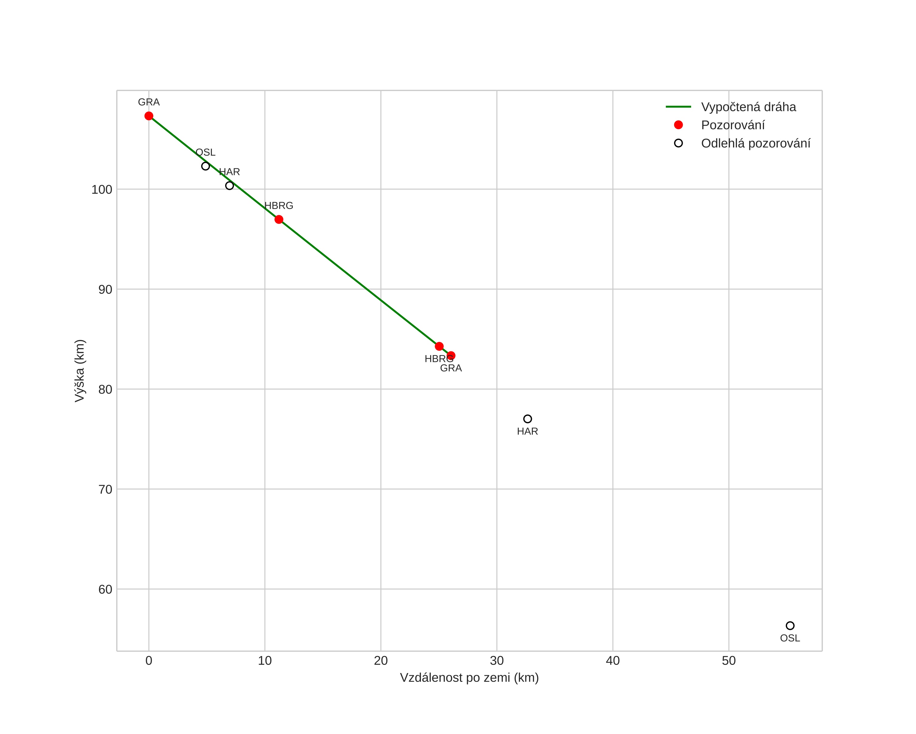
height profile
Atmosférická dráha meteoru:
Počáteční výška: 107,3 km
Konečná výška: 83,3 km
Počáteční poloha: 59,283N 10,425E
Konečná poloha: 59,115N 10,107E
Směr: 224,4°
Sklon: 42,7°
VstupnĂ­ rychlost: 57,0 km/s
Rektascenze radiantu: 04:01 (60,4°)
Deklinace radiantu: 58,1°
MeteorickĂ˝ roj: Perseidy
Elementy dráhy meteoroidu:
Vzdálenost v periheliu: 0,918 AU
Excentricita: 0,639
Sklon dráhy: 113,0°
Délka vzestupného uzlu: 147,6°
Argument perihelia: 139,7°
Střední anomálie: 7,3°
Epocha: 2018 AUG 20 22:36:05
orbit plot

NeinteraktivnĂ­ graf | InteraktivnĂ­ graf

position vs time
speed and acceleration