🇳🇴 🇬🇧 🇩🇪 🇨🇿 🇫🇮

Meteor Larvikin yllä 2018-08-20 22:36:05 UTC

KML-tiedosto  |  Interaktiivinen kartta

Kartta näyttää meteorin suuntahavainnot. Vaaleammat viivat näyttävät suunnat havaintoasemilta meteorin ilmestyessä, ja tummemmat viivat näyttävät, missä se viimeksi nähtiin. Sininen nuoli näyttää meteorin näkyvän lennon.

static map
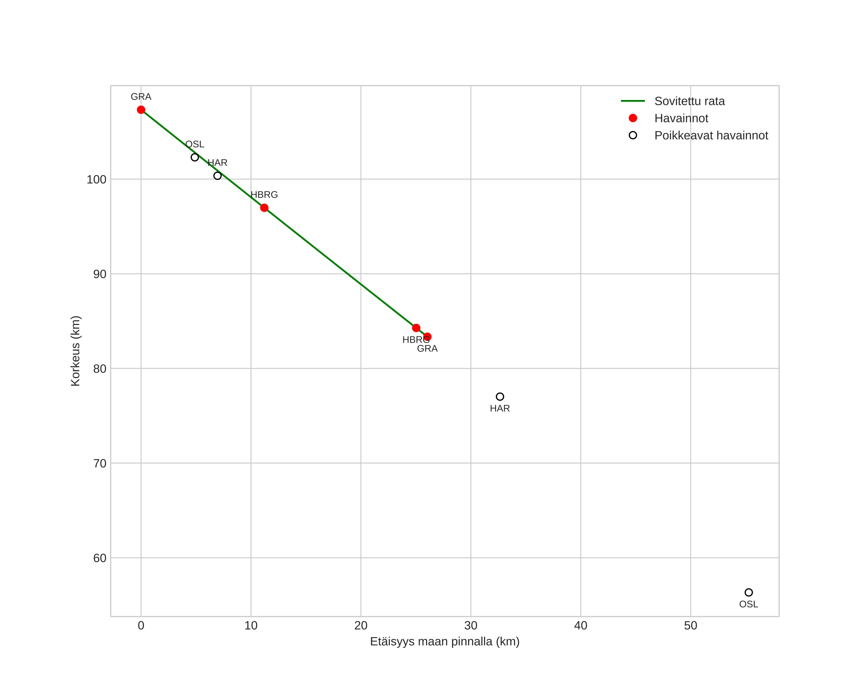
height profile
Meteorin ilmakehärata:
Alkukorkeus: 107,3 km
Loppukorkeus: 83,3 km
Alkupiste: 59,283N 10,425E
Loppupiste: 59,115N 10,107E
Suunta: 224,4°
Kallistuskulma: 42,7°
Tulonopeus: 57,0 km/s
Radiantin R,A,: 04:01 (60,4°)
Radiantin Dekl,: 58,1°
Meteoriparvi: Perseidit
Meteoroidin rataelementit:
Perihelietäisyys: 0,918 AU
Eksentrisyys: 0,639
Inklinaatio: 113,0°
Nousevan solmun pituus: 147,6°
Perihelin argumentti: 139,7°
Keskianomalia: 7,3°
Epookki: 2018 AUG 20 22:36:05
orbit plot

Ei-interaktiivinen kuvaaja | Interaktiivinen kuvaaja

position vs time
speed and acceleration