🇳🇴 🇬🇧 🇩🇪 🇨🇿 🇫🇮

Meteor, poloha: DombĂĄs 2018-08-21 22:31:56 UTC

Soubor KML  |  InteraktivnĂ­ mapa

Mapa zobrazuje dráhy meteoru. Světlejší čáry ukazují směry od pozorovacích stanic při objevení se meteoru a tmavší čáry, kde byl naposledy viděn. Modrá šipka značí viditelnou dráhu meteoru.

static map
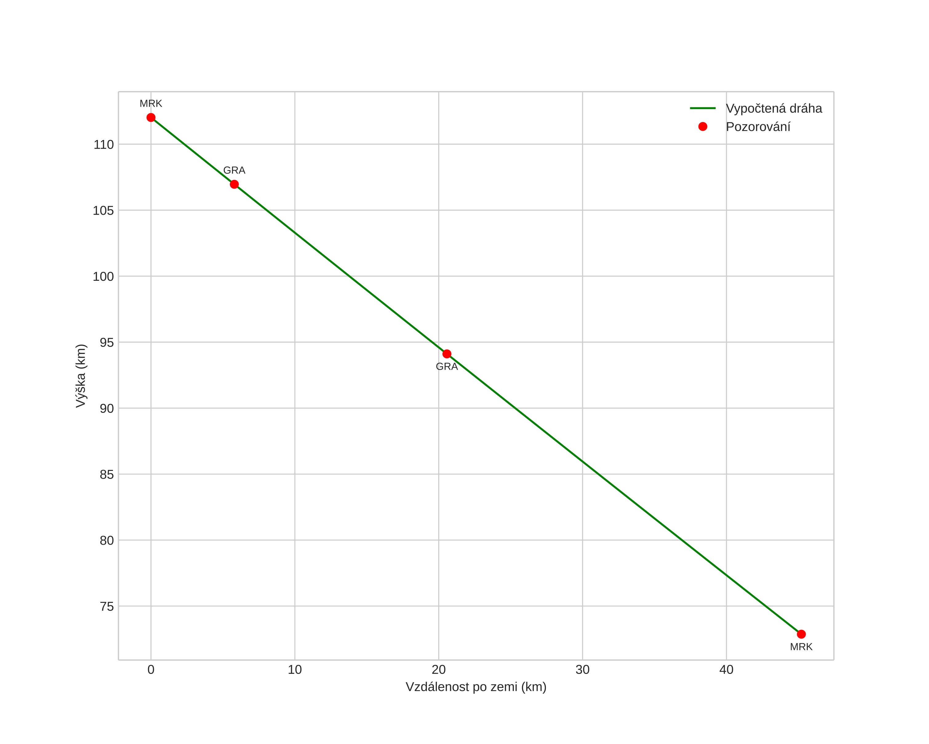
height profile
Atmosférická dráha meteoru:
Počáteční výška: 112,0 km
Konečná výška: 72,9 km
Počáteční poloha: 62,229N 10,079E
Konečná poloha: 62,131N 9,234E
Směr: 256,3°
Sklon: 40,9°
VstupnĂ­ rychlost: 47,2 km/s
Rektascenze radiantu: 02:28 (37,1°)
Deklinace radiantu: 40,9°
MeteorickĂ˝ roj: sporadickĂ˝
Elementy dráhy meteoroidu:
Vzdálenost v periheliu: 0,390 AU
Excentricita: 0,475
Sklon dráhy: 120,7°
Délka vzestupného uzlu: 148,6°
Argument perihelia: 335,6°
Střední anomálie: 237,3°
Epocha: 2018 AUG 21 22:31:56
orbit plot

NeinteraktivnĂ­ graf | InteraktivnĂ­ graf

position vs time
speed and acceleration