🇳🇴 🇬🇧 🇩🇪 🇨🇿 🇫🇮

Meteor Dombåsin yllä 2018-08-21 22:31:56 UTC

KML-tiedosto  |  Interaktiivinen kartta

Kartta näyttää meteorin suuntahavainnot. Vaaleammat viivat näyttävät suunnat havaintoasemilta meteorin ilmestyessä, ja tummemmat viivat näyttävät, missä se viimeksi nähtiin. Sininen nuoli näyttää meteorin näkyvän lennon.

static map
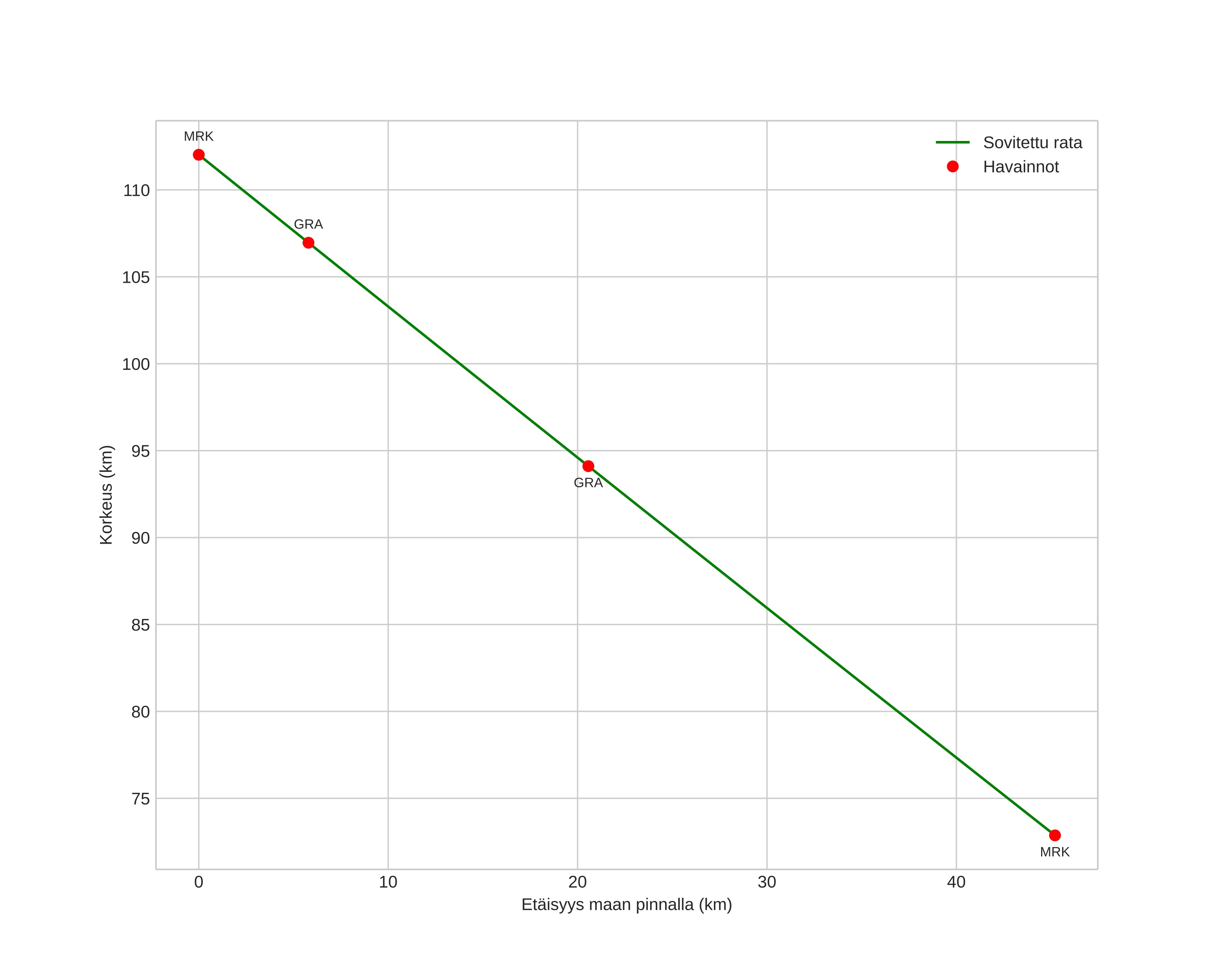
height profile
Meteorin ilmakehärata:
Alkukorkeus: 112,0 km
Loppukorkeus: 72,9 km
Alkupiste: 62,229N 10,079E
Loppupiste: 62,131N 9,234E
Suunta: 256,3°
Kallistuskulma: 40,9°
Tulonopeus: 47,2 km/s
Radiantin R,A,: 02:28 (37,1°)
Radiantin Dekl,: 40,9°
Meteoriparvi: Sporadinen
Meteoroidin rataelementit:
Perihelietäisyys: 0,390 AU
Eksentrisyys: 0,475
Inklinaatio: 120,7°
Nousevan solmun pituus: 148,6°
Perihelin argumentti: 335,6°
Keskianomalia: 237,3°
Epookki: 2018 AUG 21 22:31:56
orbit plot

Ei-interaktiivinen kuvaaja | Interaktiivinen kuvaaja

position vs time
speed and acceleration