🇳🇴 🇬🇧 🇩🇪 🇨🇿 🇫🇮

Meteor, poloha: Kongsvinger 2018-08-30 20:49:21 UTC

Soubor KML  |  InteraktivnĂ­ mapa

Mapa zobrazuje dráhy meteoru. Světlejší čáry ukazují směry od pozorovacích stanic při objevení se meteoru a tmavší čáry, kde byl naposledy viděn. Modrá šipka značí viditelnou dráhu meteoru.

static map
height profile
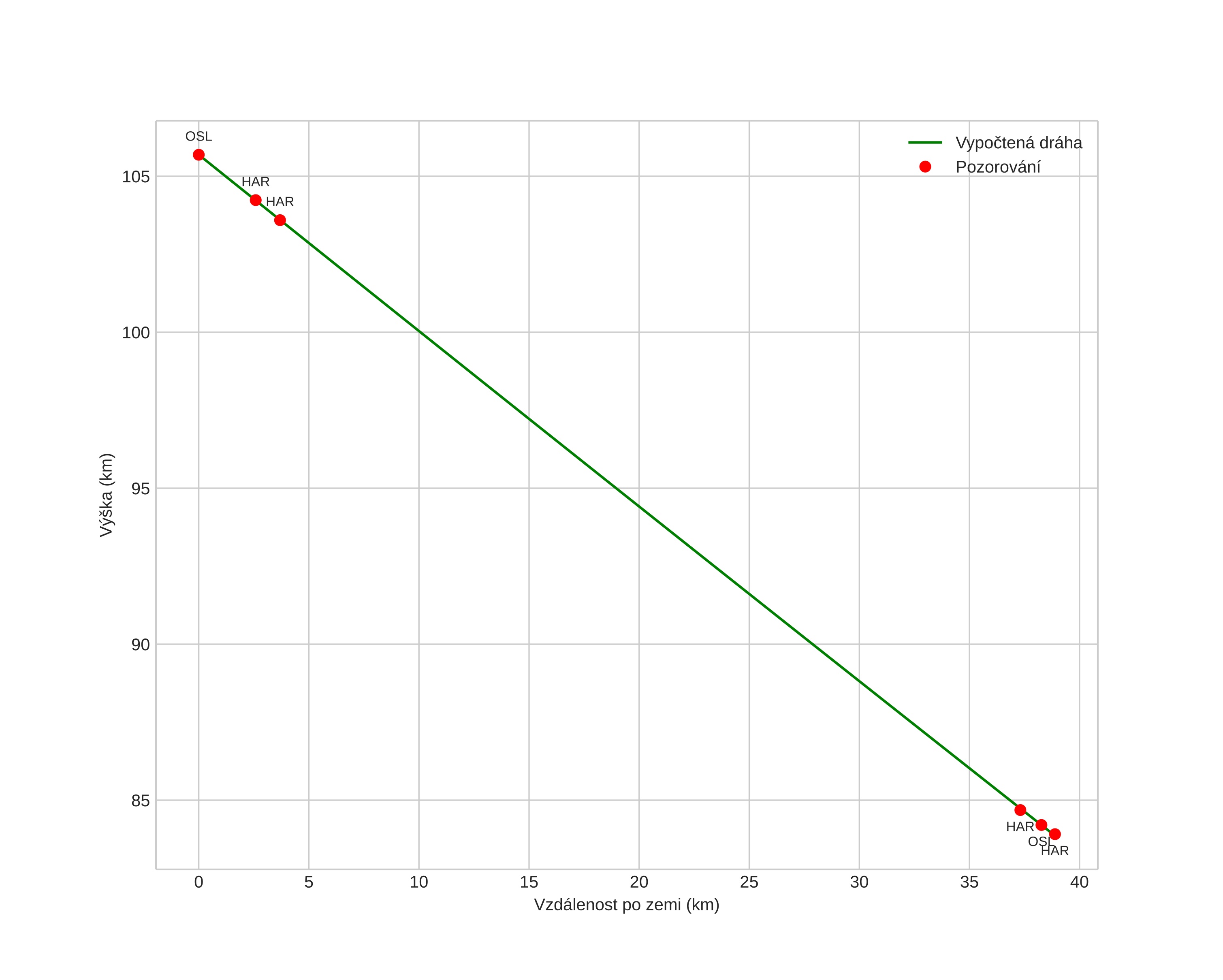
Atmosférická dráha meteoru:
Počáteční výška: 105,7 km
Konečná výška: 83,9 km
Počáteční poloha: 60,657N 12,178E
Konečná poloha: 60,323N 11,972E
Směr: 197,0°
Sklon: 29,3°
VstupnĂ­ rychlost: 65,3 km/s
Rektascenze radiantu: 06:23 (96,0°)
Deklinace radiantu: 56,3°
MeteorickĂ˝ roj: sporadickĂ˝
Elementy dráhy meteoroidu:
Vzdálenost v periheliu: 0,772 AU
Excentricita: 1,332
Sklon dráhy: 118,1°
Délka vzestupného uzlu: 157,2°
Argument perihelia: 126,0°
Střední anomálie: 8,2°
Epocha: 2018 AUG 30 20:49:21
orbit plot

NeinteraktivnĂ­ graf | InteraktivnĂ­ graf

position vs time
speed and acceleration