🇳🇴 🇬🇧 🇩🇪 🇨🇿 🇫🇮

Meteor Kongsvingerin yllä 2018-08-30 20:49:21 UTC

KML-tiedosto  |  Interaktiivinen kartta

Kartta näyttää meteorin suuntahavainnot. Vaaleammat viivat näyttävät suunnat havaintoasemilta meteorin ilmestyessä, ja tummemmat viivat näyttävät, missä se viimeksi nähtiin. Sininen nuoli näyttää meteorin näkyvän lennon.

static map
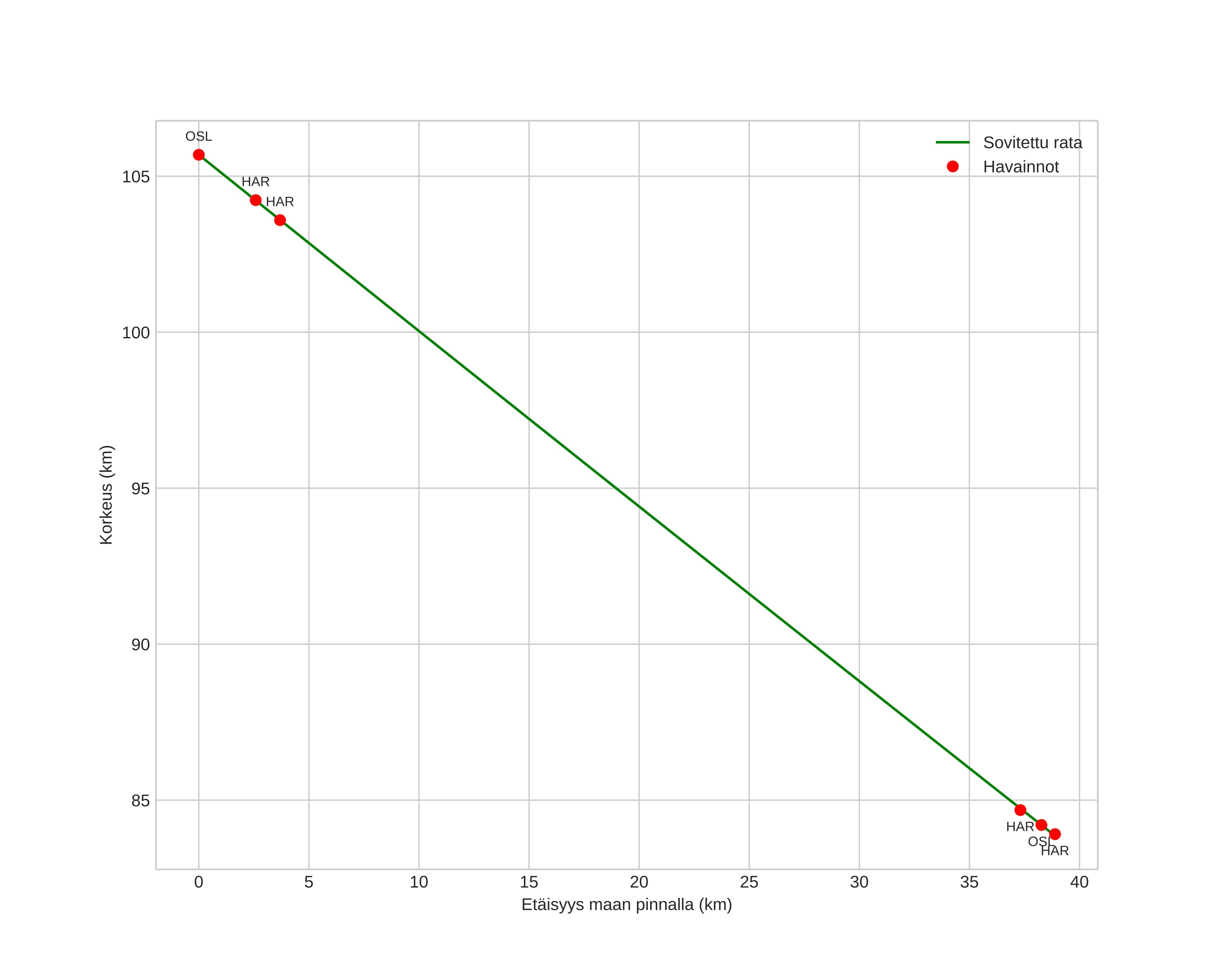
height profile
Meteorin ilmakehärata:
Alkukorkeus: 105,7 km
Loppukorkeus: 83,9 km
Alkupiste: 60,657N 12,178E
Loppupiste: 60,323N 11,972E
Suunta: 197,0°
Kallistuskulma: 29,3°
Tulonopeus: 65,3 km/s
Radiantin R,A,: 06:23 (96,0°)
Radiantin Dekl,: 56,3°
Meteoriparvi: Sporadinen
Meteoroidin rataelementit:
Perihelietäisyys: 0,772 AU
Eksentrisyys: 1,332
Inklinaatio: 118,1°
Nousevan solmun pituus: 157,2°
Perihelin argumentti: 126,0°
Keskianomalia: 8,2°
Epookki: 2018 AUG 30 20:49:21
orbit plot

Ei-interaktiivinen kuvaaja | Interaktiivinen kuvaaja

position vs time
speed and acceleration