🇳🇴 🇬🇧 🇩🇪 🇨🇿 🇫🇮

Meteor, poloha: Rjukan 2018-08-31 20:37:35 UTC

Soubor KML  |  InteraktivnĂ­ mapa

Mapa zobrazuje dráhy meteoru. Světlejší čáry ukazují směry od pozorovacích stanic při objevení se meteoru a tmavší čáry, kde byl naposledy viděn. Modrá šipka značí viditelnou dráhu meteoru.

static map
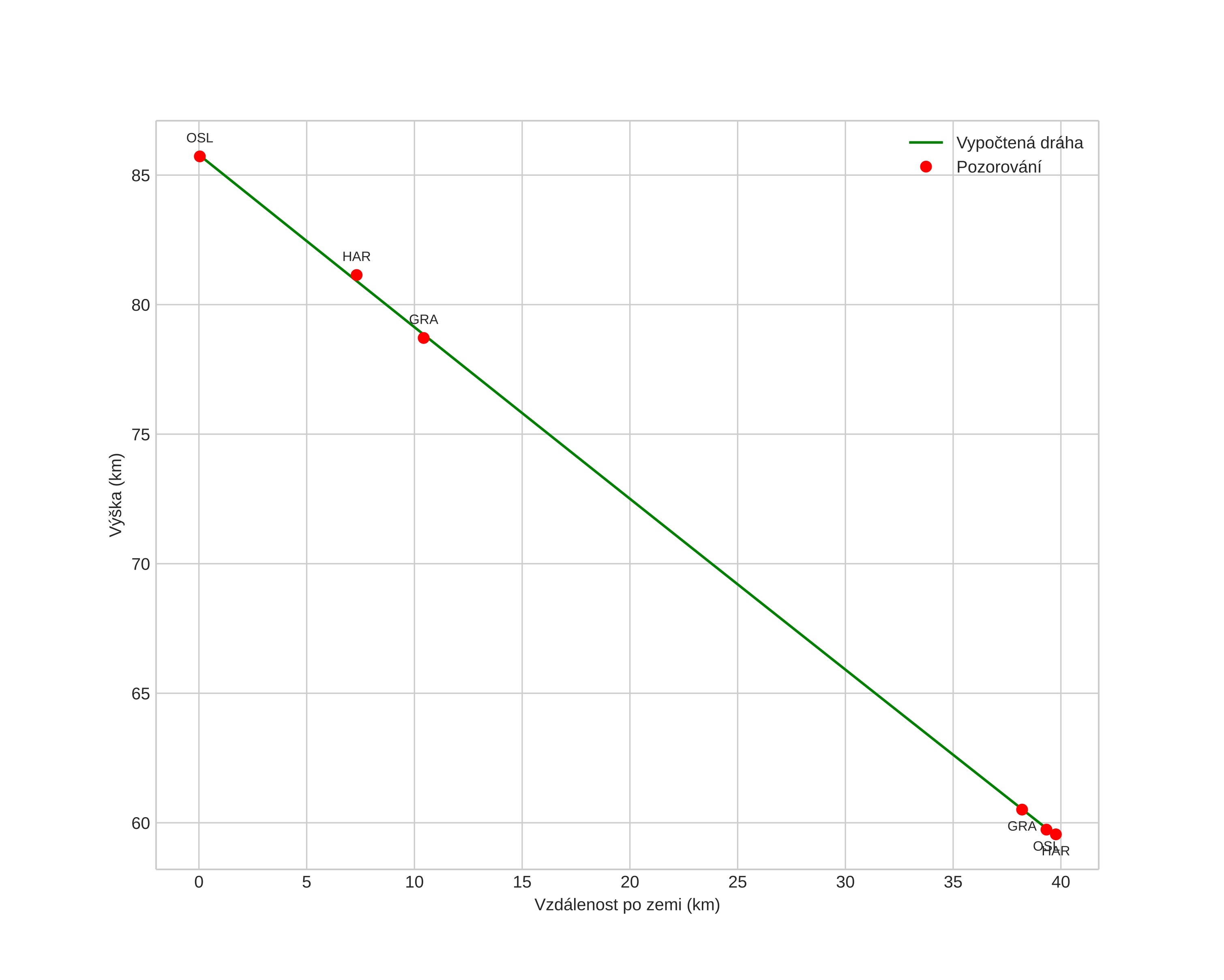
height profile
Atmosférická dráha meteoru:
Počáteční výška: 85,8 km
Konečná výška: 59,5 km
Počáteční poloha: 60,348N 7,757E
Konečná poloha: 60,098N 8,271E
Směr: 134,2°
Sklon: 33,5°
VstupnĂ­ rychlost: 21,4 km/s
Rektascenze radiantu: 12:09 (182,3°)
Deklinace radiantu: 45,7°
MeteorickĂ˝ roj: sporadickĂ˝
Elementy dráhy meteoroidu:
Vzdálenost v periheliu: 0,786 AU
Excentricita: 0,524
Sklon dráhy: 22,4°
Délka vzestupného uzlu: 158,1°
Argument perihelia: 110,8°
Střední anomálie: 22,0°
Epocha: 2018 AUG 31 20:37:35
orbit plot

NeinteraktivnĂ­ graf | InteraktivnĂ­ graf

position vs time
speed and acceleration