🇳🇴 🇬🇧 🇩🇪 🇨🇿 🇫🇮

Meteor Rjukanin yllä 2018-08-31 20:37:35 UTC

KML-tiedosto  |  Interaktiivinen kartta

Kartta näyttää meteorin suuntahavainnot. Vaaleammat viivat näyttävät suunnat havaintoasemilta meteorin ilmestyessä, ja tummemmat viivat näyttävät, missä se viimeksi nähtiin. Sininen nuoli näyttää meteorin näkyvän lennon.

static map
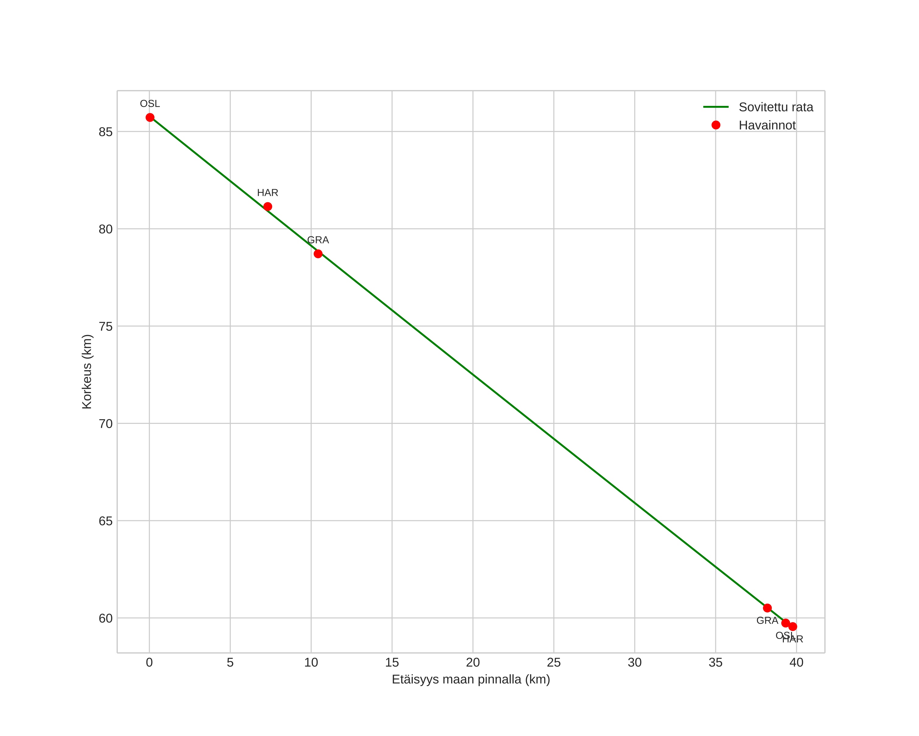
height profile
Meteorin ilmakehärata:
Alkukorkeus: 85,8 km
Loppukorkeus: 59,5 km
Alkupiste: 60,348N 7,757E
Loppupiste: 60,098N 8,271E
Suunta: 134,2°
Kallistuskulma: 33,5°
Tulonopeus: 21,4 km/s
Radiantin R,A,: 12:09 (182,3°)
Radiantin Dekl,: 45,7°
Meteoriparvi: Sporadinen
Meteoroidin rataelementit:
Perihelietäisyys: 0,786 AU
Eksentrisyys: 0,524
Inklinaatio: 22,4°
Nousevan solmun pituus: 158,1°
Perihelin argumentti: 110,8°
Keskianomalia: 22,0°
Epookki: 2018 AUG 31 20:37:35
orbit plot

Ei-interaktiivinen kuvaaja | Interaktiivinen kuvaaja

position vs time
speed and acceleration