🇳🇴 🇬🇧 🇩🇪 🇨🇿 🇫🇮

Meteor, poloha: Kiruna 2018-09-04 23:55:05 UTC

Soubor KML  |  Interaktivní mapa

Mapa zobrazuje dráhy meteoru. Světlejší čáry ukazují směry od pozorovacích stanic při objevení se meteoru a tmavší čáry, kde byl naposledy viděn. Modrá šipka značí viditelnou dráhu meteoru.

static map
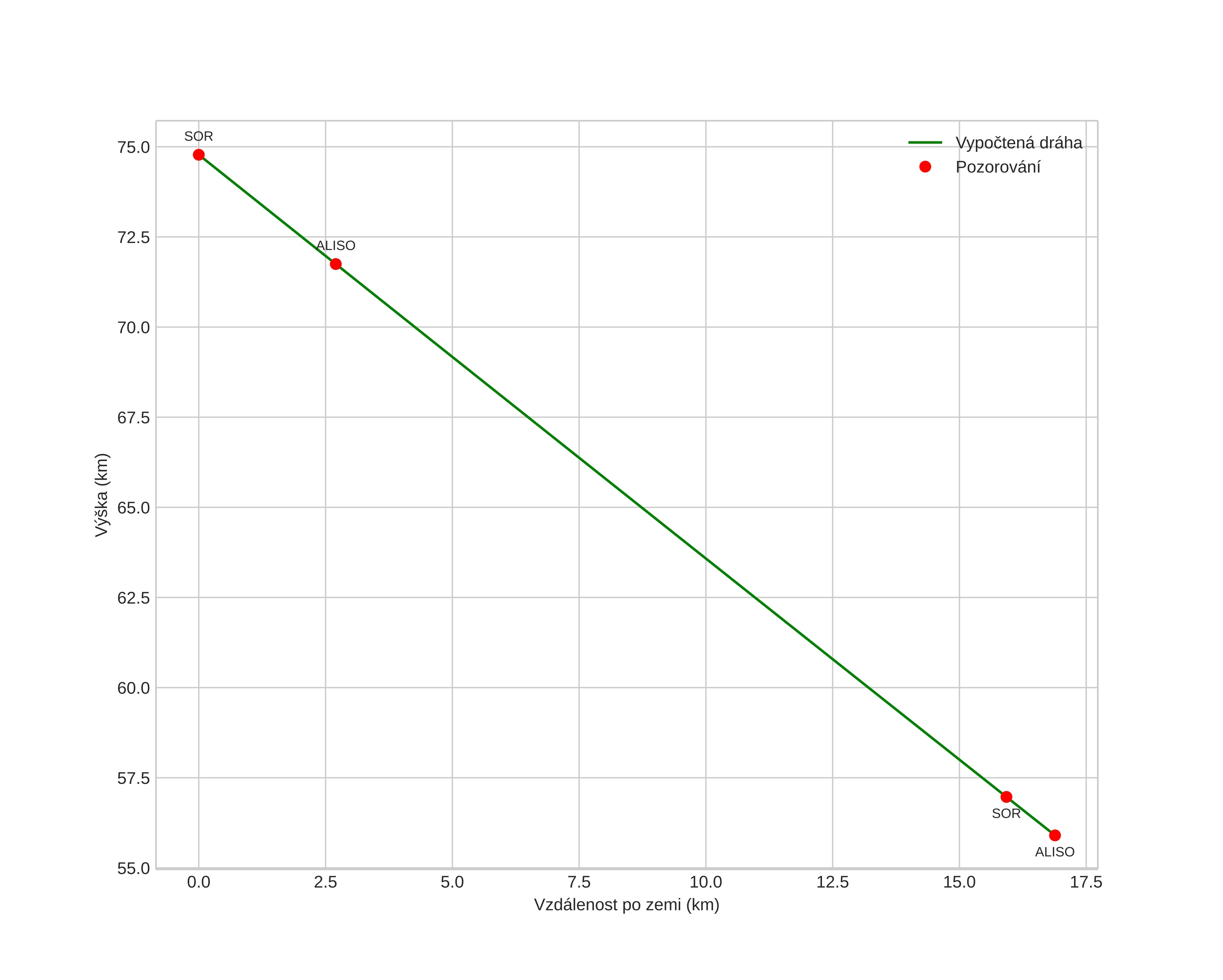
height profile
Atmosférická dráha meteoru:
Počáteční výška: 74,8 km
Konečná výška: 55,9 km
Počáteční poloha: 67,913N 20,198E
Konečná poloha: 67,893N 20,599E
Směr: 97,3°
Sklon: 48,2°
Vstupní rychlost: 18,7 km/s
Rektascenze radiantu: 19:05 (286,3°)
Deklinace radiantu: 41,8°
Meteorický roj: sporadický
Elementy dráhy meteoroidu:
Vzdálenost v periheliu: 0,981 AU
Excentricita: 0,587
Sklon dráhy: 21,8°
Délka vzestupného uzlu: 162,1°
Argument perihelia: 202,1°
Střední anomálie: 355,3°
Epocha: 2018 SEP 04 23:55:05
orbit plot

Neinteraktivní graf | Interaktivní graf

position vs time
speed and acceleration