🇳🇴 🇬🇧 🇩🇪 🇨🇿 🇫🇮

Meteor over Kiruna 2018-09-04 23:55:05 UTC

KML file  |  Interactive map

The map shows the bearings for the meteor. The lighter lines show the directions from the observation sites at the meteor's appearance, and the darker lines show where it was last seen. The blue arrow indicates the visible path of the meteor.

static map
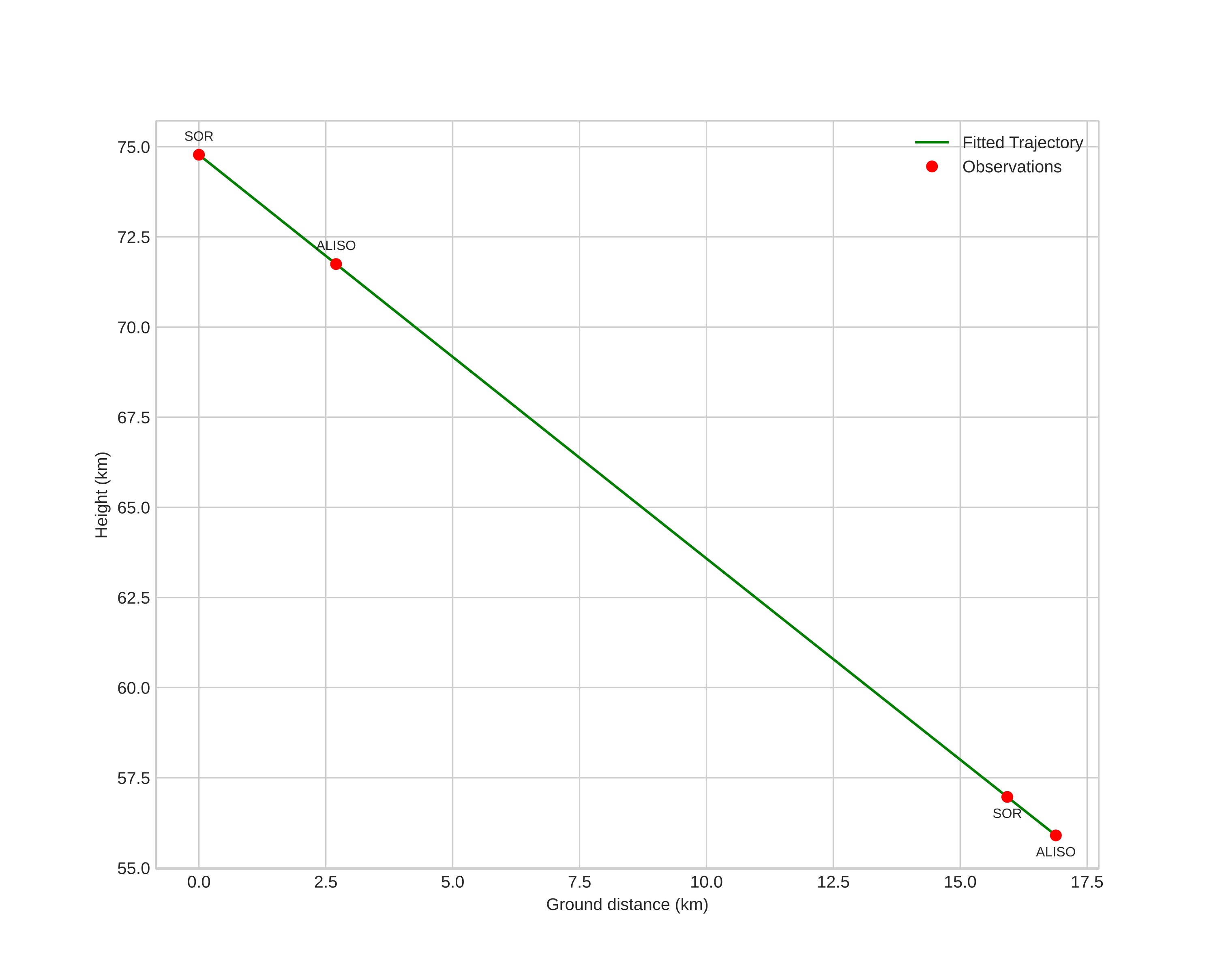
height profile
Meteor's Atmospheric Trajectory:
Start height: 74.8 km
End height: 55.9 km
Start position: 67.913N 20.198E
End position: 67.893N 20.599E
Direction: 97.3°
Inclination angle: 48.2°
Entry speed: 18.7 km/s
Radiant R.A.: 19:05 (286.3°)
Radiant Dec.: 41.8°
Meteor Shower: sporadic
Meteoroid's Orbital Elements:
Perihelion distance: 0.981 AU
Eccentricity: 0.587
Inclination: 21.8°
Long. of Asc. Node: 162.1°
Argument of Perihelion: 202.1°
Mean Anomaly: 355.3°
Epoch: 2018 SEP 04 23:55:05
orbit plot

Non-interactive plot | Interactive plot

position vs time
speed and acceleration