🇳🇴 🇬🇧 🇩🇪 🇨🇿 🇫🇮

Meteor, poloha: Vardø 2018-09-09 22:58:40 UTC

Soubor KML  |  InteraktivnĂ­ mapa

Mapa zobrazuje dráhy meteoru. Světlejší čáry ukazují směry od pozorovacích stanic při objevení se meteoru a tmavší čáry, kde byl naposledy viděn. Modrá šipka značí viditelnou dráhu meteoru.

static map
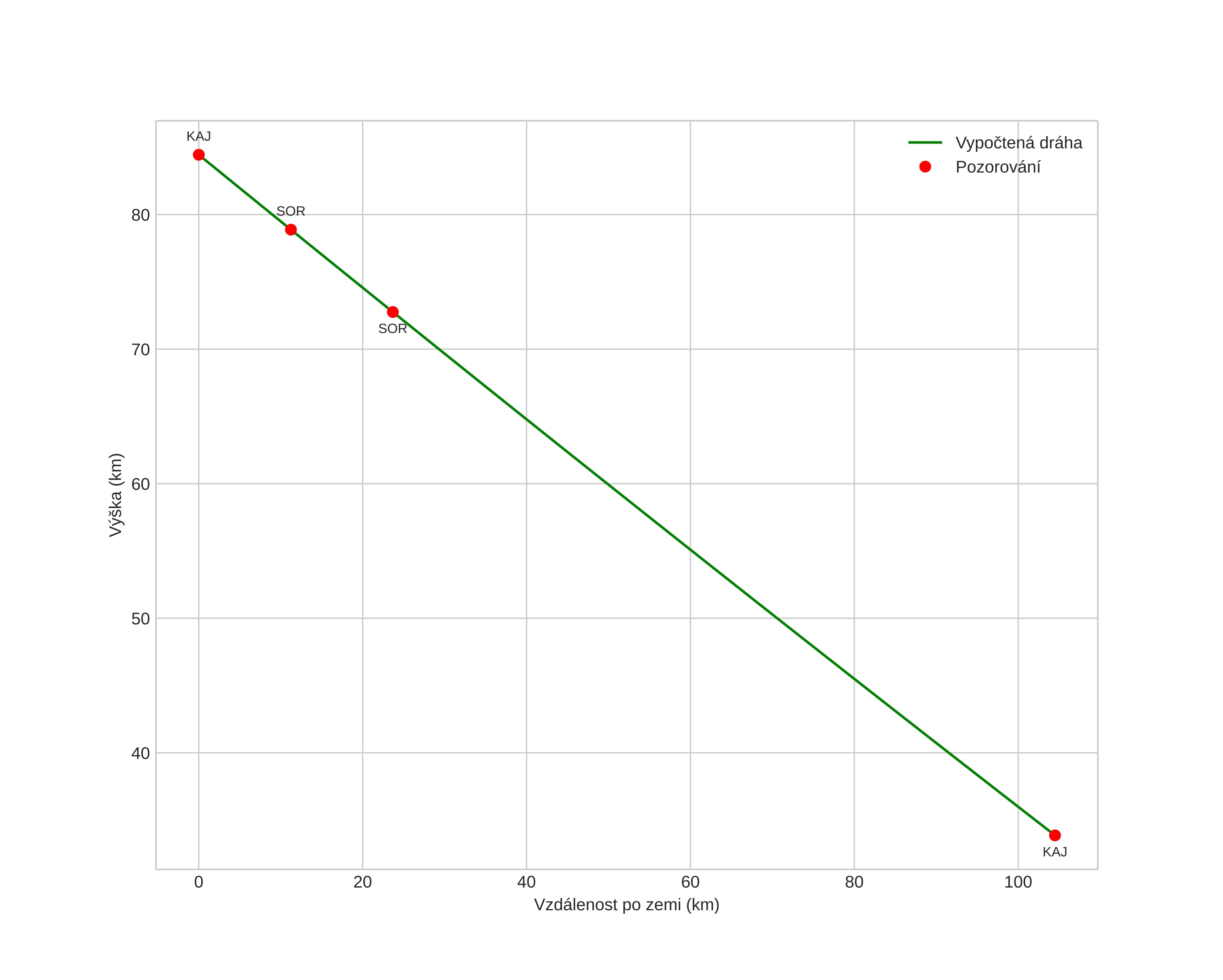
height profile
Atmosférická dráha meteoru:
Počáteční výška: 84,4 km
Konečná výška: 33,9 km
Počáteční poloha: 70,010N 29,608E
Konečná poloha: 70,411N 32,118E
Směr: 63,6°
Sklon: 25,8°
VstupnĂ­ rychlost: 11,2 km/s
Rektascenze radiantu: 19:22 (290,6°)
Deklinace radiantu: -27,5°
MeteorickĂ˝ roj: sporadickĂ˝
Elementy dráhy meteoroidu:
Vzdálenost v periheliu: 0,996 AU
Excentricita: 0,142
Sklon dráhy: 0,4°
Délka vzestupného uzlu: 346,9°
Argument perihelia: 24,4°
Střední anomálie: 341,7°
Epocha: 2018 SEP 09 22:58:40
orbit plot

NeinteraktivnĂ­ graf | InteraktivnĂ­ graf

position vs time
speed and acceleration