🇳🇴 🇬🇧 🇩🇪 🇨🇿 🇫🇮

Meteor Vardøin yllä 2018-09-09 22:58:40 UTC

KML-tiedosto  |  Interaktiivinen kartta

Kartta näyttää meteorin suuntahavainnot. Vaaleammat viivat näyttävät suunnat havaintoasemilta meteorin ilmestyessä, ja tummemmat viivat näyttävät, missä se viimeksi nähtiin. Sininen nuoli näyttää meteorin näkyvän lennon.

static map
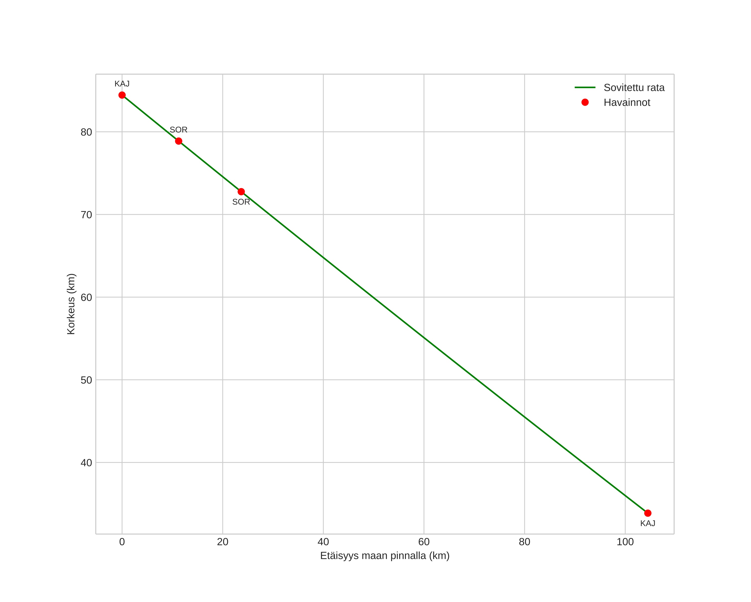
height profile
Meteorin ilmakehärata:
Alkukorkeus: 84,4 km
Loppukorkeus: 33,9 km
Alkupiste: 70,010N 29,608E
Loppupiste: 70,411N 32,118E
Suunta: 63,6°
Kallistuskulma: 25,8°
Tulonopeus: 11,2 km/s
Radiantin R,A,: 19:22 (290,6°)
Radiantin Dekl,: -27,5°
Meteoriparvi: Sporadinen
Meteoroidin rataelementit:
Perihelietäisyys: 0,996 AU
Eksentrisyys: 0,142
Inklinaatio: 0,4°
Nousevan solmun pituus: 346,9°
Perihelin argumentti: 24,4°
Keskianomalia: 341,7°
Epookki: 2018 SEP 09 22:58:40
orbit plot

Ei-interaktiivinen kuvaaja | Interaktiivinen kuvaaja

position vs time
speed and acceleration