🇳🇴 🇬🇧 🇩🇪 🇨🇿 🇫🇮

Meteor, poloha: Hol 2018-09-27 19:00:48 UTC

Soubor KML  |  InteraktivnĂ­ mapa

Mapa zobrazuje dráhy meteoru. Světlejší čáry ukazují směry od pozorovacích stanic při objevení se meteoru a tmavší čáry, kde byl naposledy viděn. Modrá šipka značí viditelnou dráhu meteoru.

static map
height profile
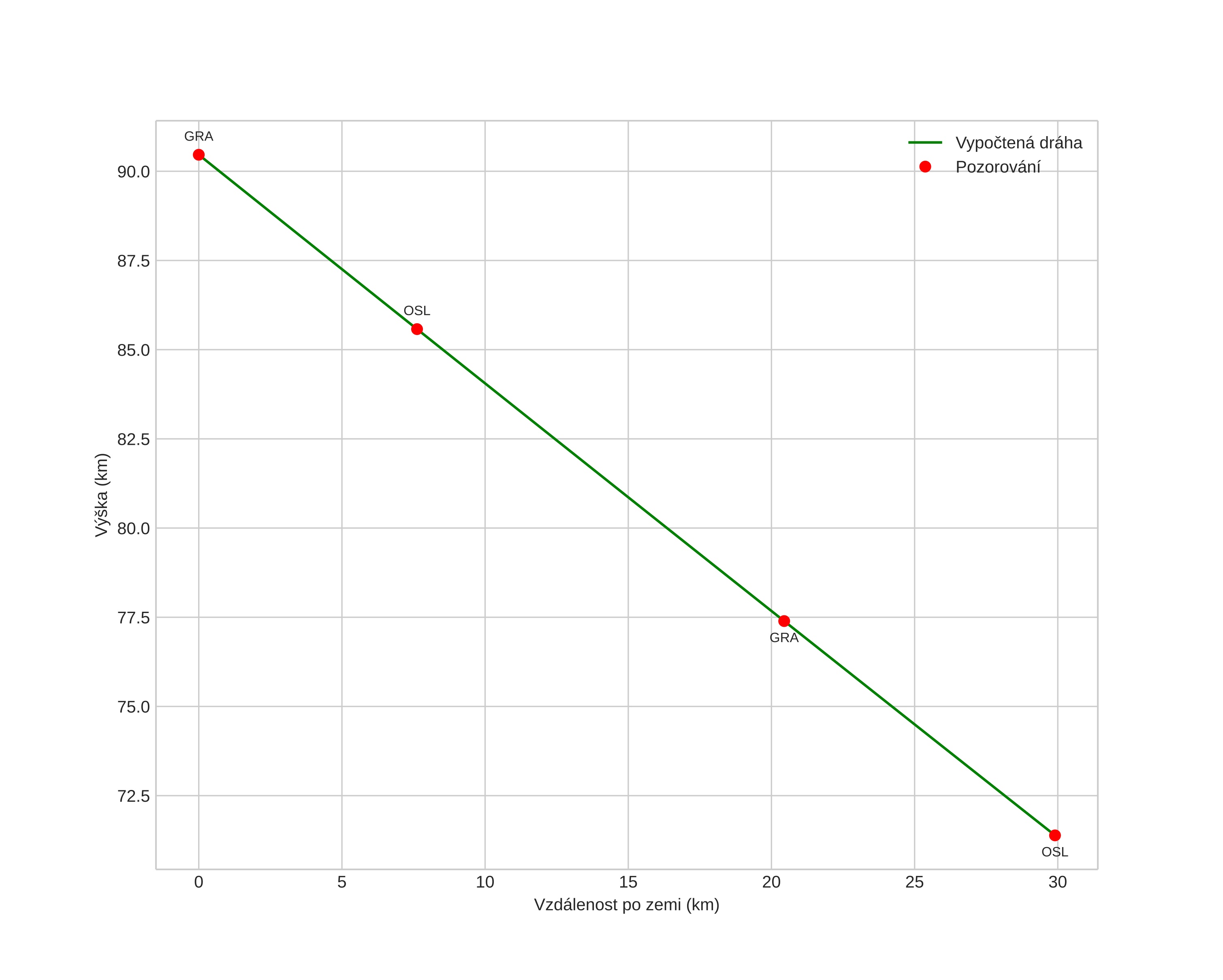
Atmosférická dráha meteoru:
Počáteční výška: 90,5 km
Konečná výška: 71,4 km
Počáteční poloha: 60,567N 7,965E
Konečná poloha: 60,744N 8,380E
Směr: 48,8°
Sklon: 32,6°
VstupnĂ­ rychlost: 12,4 km/s
Rektascenze radiantu: 16:38 (249,6°)
Deklinace radiantu: -9,9°
MeteorickĂ˝ roj: sporadickĂ˝
Elementy dráhy meteoroidu:
Vzdálenost v periheliu: 0,997 AU
Excentricita: 0,384
Sklon dráhy: 2,0°
Délka vzestupného uzlu: 184,4°
Argument perihelia: 168,6°
Střední anomálie: 4,7°
Epocha: 2018 SEP 27 19:00:48
orbit plot

NeinteraktivnĂ­ graf | InteraktivnĂ­ graf

position vs time
speed and acceleration