🇳🇴 🇬🇧 🇩🇪 🇨🇿 🇫🇮

Meteor Holin yllä 2018-09-27 19:00:48 UTC

KML-tiedosto  |  Interaktiivinen kartta

Kartta näyttää meteorin suuntahavainnot. Vaaleammat viivat näyttävät suunnat havaintoasemilta meteorin ilmestyessä, ja tummemmat viivat näyttävät, missä se viimeksi nähtiin. Sininen nuoli näyttää meteorin näkyvän lennon.

static map
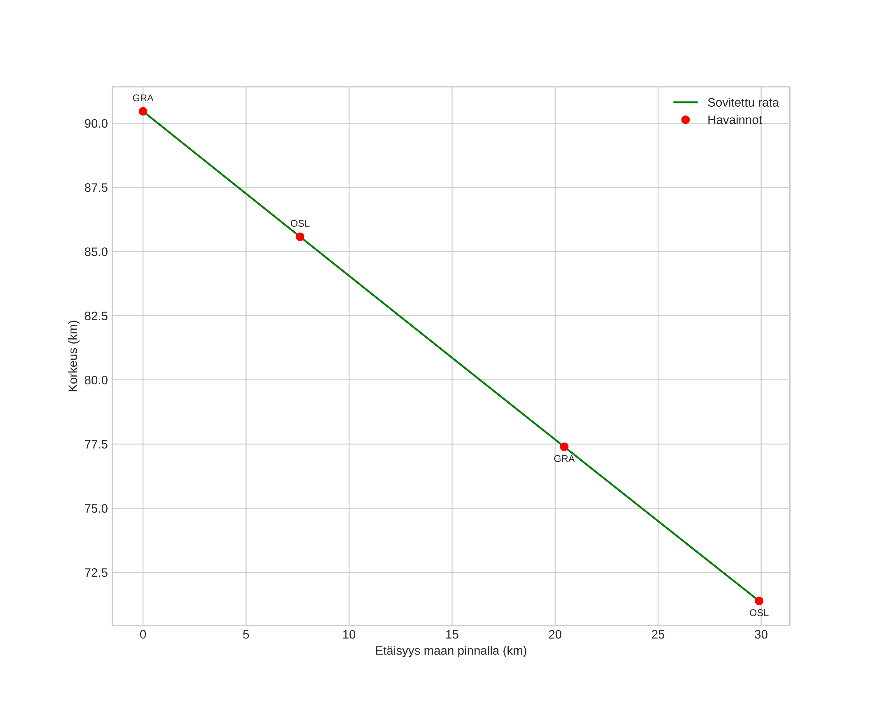
height profile
Meteorin ilmakehärata:
Alkukorkeus: 90,5 km
Loppukorkeus: 71,4 km
Alkupiste: 60,567N 7,965E
Loppupiste: 60,744N 8,380E
Suunta: 48,8°
Kallistuskulma: 32,6°
Tulonopeus: 12,4 km/s
Radiantin R,A,: 16:38 (249,6°)
Radiantin Dekl,: -9,9°
Meteoriparvi: Sporadinen
Meteoroidin rataelementit:
Perihelietäisyys: 0,997 AU
Eksentrisyys: 0,384
Inklinaatio: 2,0°
Nousevan solmun pituus: 184,4°
Perihelin argumentti: 168,6°
Keskianomalia: 4,7°
Epookki: 2018 SEP 27 19:00:48
orbit plot

Ei-interaktiivinen kuvaaja | Interaktiivinen kuvaaja

position vs time
speed and acceleration